USSR SHOP »
Магазин » Решебник Рябушко. Решенный ИДЗ 3.1, Вариант 7
Купить Решебник Рябушко. Решенный ИДЗ 3.1, Вариант 7
Обновлено: 2025-12-12 21:42:24
$ 0.76
0 продаж
Всего продаж: 0
✅ Методы оплаты: 







Описание товара:
1. Даны четыре точки A1(x1, y1, z1), A2(x2, y2, z2), A3(x3, y3, z3), A4(x4, y4, z4)
Составить уравнения:
а) плоскости А1А2А3; б) прямой А1А2;
в) прямой А4М, перпендикулярной к плоскости А1А2А3;
г) прямой А3N, параллельной прямой А1А2;
д) плоскости, проходящей через точку А4 перпендикулярно к прямой А1А2.
Вычислить:
е) синус угла между прямой А1А4 и плоскостью А1А2А3;
ж) косинус угла между координатной плоскостью Oxy и плоскостью А1А2А3;
1.7 A1(5, 5, 4), A2(1, −1, 4), A3(3, 5, 1), A4(5, 8, −1)
2. Решить следующие задачи
2.7 Составить уравнение плоскости, проходящей через точку A(3; 4; 0) и прямую (x-2)/1=(y-3)/2=(z+1)/2.
3. Решить следующие задачи
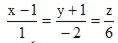
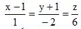
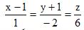
3.7 Найти точку пересечения прямой (x-1)/1=(y+1)/-2=z/6 и плоскости 2x + 3y + z–1=0
Решение оформлено в PDF формате
Составить уравнения:
а) плоскости А1А2А3; б) прямой А1А2;
в) прямой А4М, перпендикулярной к плоскости А1А2А3;
г) прямой А3N, параллельной прямой А1А2;
д) плоскости, проходящей через точку А4 перпендикулярно к прямой А1А2.
Вычислить:
е) синус угла между прямой А1А4 и плоскостью А1А2А3;
ж) косинус угла между координатной плоскостью Oxy и плоскостью А1А2А3;
1.7 A1(5, 5, 4), A2(1, −1, 4), A3(3, 5, 1), A4(5, 8, −1)
2. Решить следующие задачи
2.7 Составить уравнение плоскости, проходящей через точку A(3; 4; 0) и прямую (x-2)/1=(y-3)/2=(z+1)/2.
3. Решить следующие задачи
3.7 Найти точку пересечения прямой (x-1)/1=(y+1)/-2=z/6 и плоскости 2x + 3y + z–1=0
Решение оформлено в PDF формате
Изображения:
Вас могут заинтересовать:
19.02.2025
5 продаж
Решебник Рябушко. Решенный ИДЗ 18.2, Вариант 17
Купить
$ 1.47
19.02.2025
2 продажи
Решебник Рябушко. Решенный ИДЗ 11.1, Вариант 13
Купить
$ 1.16
19.02.2025
2 продажи
Решебник Рябушко. Решенный ИДЗ 12.3, Вариант 25
Купить
$ 1.55
19.02.2025
1 продажа
Решебник Рябушко. Решенный ИДЗ 9.1, Вариант 13
Купить
$ 1.31
19.02.2025
1 продажа
Решебник Рябушко. Решенный ИДЗ 12.3, Вариант 8
Купить
$ 1.47
19.02.2025
1 продажа
Решебник Рябушко. Решенный ИДЗ 13.1, Вариант 1
Купить
$ 1.37
19.02.2025
1 продажа
Решебник Рябушко. Решенный ИДЗ 19.2, Вариант 3
Купить
$ 1.37
20.02.2025
0 продаж
Решебник Рябушко. Решенный ИДЗ 1.2, Вариант 2
Купить
$ 0.84
20.02.2025
0 продаж
Решебник Рябушко. Решенный ИДЗ 1.2, Вариант 30
Купить
$ 0.84
19.02.2025
0 продаж
Решебник Рябушко. Решенный ИДЗ 3.1, Вариант 6
Купить
$ 0.74
19.02.2025
0 продаж
Решебник Рябушко. Решенный ИДЗ 3.1, Вариант 13
Купить
$ 0.74
19.02.2025
0 продаж
Решебник Рябушко. Решенный ИДЗ 3.2, Вариант 29
Купить
$ 0.53
19.02.2025
0 продаж
Решебник Рябушко. Решенный ИДЗ 5.1, Вариант 10
Купить
$ 1.1
19.02.2025
0 продаж
Решебник Рябушко. Решенный ИДЗ 5.1, Вариант 14
Купить
$ 1.05
19.02.2025
0 продаж
Решебник Рябушко. Решенный ИДЗ 5.2, Вариант 9
Купить
$ 0.84
19.02.2025
0 продаж
Решебник Рябушко. Решенный ИДЗ 6.4, Вариант 1
Купить
$ 1.05
19.02.2025
0 продаж
Решебник Рябушко. Решенный ИДЗ 6.4, Вариант 5
Купить
$ 1.05
19.02.2025
0 продаж
Решебник Рябушко. Решенный ИДЗ 8.1, Вариант 6
Купить
$ 0.95
19.02.2025
0 продаж
Решебник Рябушко. Решенный ИДЗ 8.1, Вариант 20
Купить
$ 1
19.02.2025
0 продаж
Решебник Рябушко. Решенный ИДЗ 8.2, Вариант 25
Купить
$ 1.26
19.02.2025
0 продаж
Решебник Рябушко. Решенный ИДЗ 8.2, Вариант 26
Купить
$ 1.26
19.02.2025
0 продаж
Решебник Рябушко. Решенный ИДЗ 9.1, Вариант 6
Купить
$ 1.26
19.02.2025
0 продаж
Решебник Рябушко. Решенный ИДЗ 11.1, Вариант 10
Купить
$ 1.16
19.02.2025
0 продаж
Решебник Рябушко. Решенный ИДЗ 11.2, Вариант 21
Купить
$ 1.22
19.02.2025
0 продаж
Решебник Рябушко. Решенный ИДЗ 11.3, Вариант 1
Купить
$ 1.2
19.02.2025
0 продаж
Решебник Рябушко. Решенный ИДЗ 11.3, Вариант 4
Купить
$ 1.16
19.02.2025
0 продаж
Решебник Рябушко. Решенный ИДЗ 11.3, Вариант 6
Купить
$ 1.16
19.02.2025
0 продаж
Решебник Рябушко. Решенный ИДЗ 11.4, Вариант 6
Купить
$ 1.22
19.02.2025
0 продаж
Решебник Рябушко. Решенный ИДЗ 11.4, Вариант 9
Купить
$ 1.22
19.02.2025
0 продаж
Решебник Рябушко. Решенный ИДЗ 12.1, Вариант 27
Купить
$ 1.26
19.02.2025
0 продаж
Решебник Рябушко. Решенный ИДЗ 12.1, Вариант 29
Купить
$ 1.32
19.02.2025
0 продаж
Решебник Рябушко. Решенный ИДЗ 13.2, Вариант 22
Купить
$ 1.05
19.02.2025
0 продаж
Решебник Рябушко. Решенный ИДЗ 13.2, Вариант 28
Купить
$ 1.05
19.02.2025
0 продаж
Решебник Рябушко. Решенный ИДЗ 13.2, Вариант 29
Купить
$ 1.1
19.02.2025
0 продаж
Решебник Рябушко. Решенный ИДЗ 13.3, Вариант 30
Купить
$ 1.22
19.02.2025
0 продаж
Решебник Рябушко. Решенный ИДЗ 14.1, Вариант 22
Купить
$ 1.11
19.02.2025
0 продаж
Решебник Рябушко. Решенный ИДЗ 15.1, Вариант 26
Купить
$ 1.26
19.02.2025
0 продаж
Решебник Рябушко. Решенный ИДЗ 15.2, Вариант 25
Купить
$ 1.33
19.02.2025
0 продаж
Решебник Рябушко. Решенный ИДЗ 6.1, Вариант 2
Купить
$ 1.55
19.02.2025
0 продаж
Решебник Рябушко. Решенный ИДЗ 6.3, Вариант 11
Купить
$ 1.37
19.02.2025
0 продаж
Решебник Рябушко. Решенный ИДЗ 6.3, Вариант 16
Купить
$ 1.37
19.02.2025
0 продаж
Решебник Рябушко. Решенный ИДЗ 8.4, Вариант 8
Купить
$ 1.47
19.02.2025
0 продаж
Решебник Рябушко. Решенный ИДЗ 10.1, Вариант 4
Купить
$ 1.37
19.02.2025
0 продаж
Решебник Рябушко. Решенный ИДЗ 10.1, Вариант 12
Купить
$ 1.37
19.02.2025
0 продаж
Решебник Рябушко. Решенный ИДЗ 12.2, Вариант 18
Купить
$ 1.55
19.02.2025
0 продаж
Решебник Рябушко. Решенный ИДЗ 12.3, Вариант 24
Купить
$ 1.47
19.02.2025
0 продаж
Решебник Рябушко. Решенный ИДЗ 13.1, Вариант 11
Купить
$ 1.37
19.02.2025
0 продаж
Решебник Рябушко. Решенный ИДЗ 18.1, Вариант 24
Купить
$ 1.54
19.02.2025
0 продаж
Решебник Рябушко. Решенный ИДЗ 19.1, Вариант 9
Купить
$ 1.37
20.02.2025
0 продаж
Решебник Рябушко. Решенный ИДЗ 1.1, Вариант 24
Купить
$ 0.42