USSR SHOP »
Магазин » Решебник Рябушко. Решенный ИДЗ 3.2, Вариант 7
Купить Решебник Рябушко. Решенный ИДЗ 3.2, Вариант 7
Обновлено: 2025-10-23 21:33:24

$ 0.53
0 продаж
Всего продаж: 0
✅ Методы оплаты: 





Описание товара:
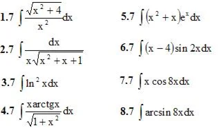
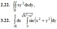
1. Даны вершины треугольника ABC: A(x1, y1), B(x2, y2), C(x3, y3). Найти:
а) уравнение стороны AB
б) уравнение высоты CH
в) уравнение медианы AM
г) точку N пересечения медианы AM и высоты CH
д) уравнение прямой, проходящей через вершину С параллельно стороне AB
е) расстояние от точки С до прямой AB
1.7 A(−4, 2) B(−6, 6) C(6, 2)
2. Решить следующие задачи.
2.7 Записать уравнение прямой, проходящей через точку A(3, 1) перпендикулярно к прямой BC, если B(2, 5), C (1, 0).
Решение оформлено в PDF формате
а) уравнение стороны AB
б) уравнение высоты CH
в) уравнение медианы AM
г) точку N пересечения медианы AM и высоты CH
д) уравнение прямой, проходящей через вершину С параллельно стороне AB
е) расстояние от точки С до прямой AB
1.7 A(−4, 2) B(−6, 6) C(6, 2)
2. Решить следующие задачи.
2.7 Записать уравнение прямой, проходящей через точку A(3, 1) перпендикулярно к прямой BC, если B(2, 5), C (1, 0).
Решение оформлено в PDF формате
Вас могут заинтересовать:
19.02.2025
5 продаж
Решебник Рябушко. Решенный ИДЗ 18.2, Вариант 1
Купить
$ 1.47
19.02.2025
1 продажа
Решебник Рябушко. Решенный ИДЗ 9.1, Вариант 12
Купить
$ 1.26
19.02.2025
1 продажа
Решебник Рябушко. Решенный ИДЗ 13.1, Вариант 22
Купить
$ 1.37
19.02.2025
1 продажа
Решебник Рябушко. Решенный ИДЗ 19.1, Вариант 8
Купить
$ 1.37
20.02.2025
0 продаж
Решебник Рябушко. Решенный ИДЗ 1.2, Вариант 16
Купить
$ 0.84
20.02.2025
0 продаж
Решебник Рябушко. Решенный ИДЗ 1.2, Вариант 28
Купить
$ 0.84
19.02.2025
0 продаж
Решебник Рябушко. Решенный ИДЗ 3.1, Вариант 21
Купить
$ 0.74
19.02.2025
0 продаж
Решебник Рябушко. Решенный ИДЗ 3.1, Вариант 26
Купить
$ 0.74
01.07.2020
0 продаж
Решебник Рябушко. Решенный ИДЗ 5.1, Вариант 1
Купить
$ 0.82
03.07.2020
0 продаж
Решебник Рябушко. Решенный ИДЗ 5.2, Вариант 1
Купить
$ 0.66
03.07.2020
0 продаж
Решебник Рябушко. Решенный ИДЗ 5.2, Вариант 4
Купить
$ 0.66
19.02.2025
0 продаж
Решебник Рябушко. Решенный ИДЗ 5.2, Вариант 17
Купить
$ 0.84
19.02.2025
0 продаж
Решебник Рябушко. Решенный ИДЗ 5.2, Вариант 22
Купить
$ 0.84
19.02.2025
0 продаж
Решебник Рябушко. Решенный ИДЗ 6.2, Вариант 19
Купить
$ 1.26

12.08.2020
0 продаж
Решебник Рябушко. Решенный ИДЗ 6.4, Вариант 1
Купить
$ 0.82

19.02.2025
0 продаж
Решебник Рябушко. Решенный ИДЗ 6.4, Вариант 17
Купить
$ 1.05
19.02.2025
0 продаж
Решебник Рябушко. Решенный ИДЗ 8.1, Вариант 25
Купить
$ 0.95
01.10.2020
0 продаж
Решебник Рябушко. Решенный ИДЗ 8.2, Вариант 8
Купить
$ 0.98

19.02.2025
0 продаж
Решебник Рябушко. Решенный ИДЗ 9.2, Вариант 12
Купить
$ 1.05

19.02.2025
0 продаж
Решебник Рябушко. Решенный ИДЗ 9.2, Вариант 30
Купить
$ 1.05

19.02.2025
0 продаж
Решебник Рябушко. Решенный ИДЗ 11.1, Вариант 7
Купить
$ 1.16

19.02.2025
0 продаж
Решебник Рябушко. Решенный ИДЗ 11.1, Вариант 14
Купить
$ 1.16

19.02.2025
0 продаж
Решебник Рябушко. Решенный ИДЗ 11.1, Вариант 16
Купить
$ 1.16

19.02.2025
0 продаж
Решебник Рябушко. Решенный ИДЗ 11.2, Вариант 16
Купить
$ 1.16

19.02.2025
0 продаж
Решебник Рябушко. Решенный ИДЗ 11.2, Вариант 30
Купить
$ 1.16

19.02.2025
0 продаж
Решебник Рябушко. Решенный ИДЗ 11.3, Вариант 2
Купить
$ 1.16

19.02.2025
0 продаж
Решебник Рябушко. Решенный ИДЗ 11.3, Вариант 6
Купить
$ 1.16

19.02.2025
0 продаж
Решебник Рябушко. Решенный ИДЗ 11.4, Вариант 5
Купить
$ 1.16
19.02.2025
0 продаж
Решебник Рябушко. Решенный ИДЗ 12.1, Вариант 7
Купить
$ 1.26
19.02.2025
0 продаж
Решебник Рябушко. Решенный ИДЗ 15.1, Вариант 10
Купить
$ 1.26
19.02.2025
0 продаж
Решебник Рябушко. Решенный ИДЗ 6.1, Вариант 11
Купить
$ 1.47
16.07.2020
0 продаж
Решебник Рябушко. Решенный ИДЗ 6.3, Вариант 6
Купить
$ 1.07
19.02.2025
0 продаж
Решебник Рябушко. Решенный ИДЗ 6.3, Вариант 14
Купить
$ 1.37
19.02.2025
0 продаж
Решебник Рябушко. Решенный ИДЗ 6.3, Вариант 20
Купить
$ 1.37
19.02.2025
0 продаж
Решебник Рябушко. Решенный ИДЗ 6.3, Вариант 28
Купить
$ 1.37
08.10.2020
0 продаж
Решебник Рябушко. Решенный ИДЗ 8.3, Вариант 7
Купить
$ 1.07
19.02.2025
0 продаж
Решебник Рябушко. Решенный ИДЗ 8.3, Вариант 16
Купить
$ 1.37

19.02.2025
0 продаж
Решебник Рябушко. Решенный ИДЗ 10.1, Вариант 8
Купить
$ 1.37
19.02.2025
0 продаж
Решебник Рябушко. Решенный ИДЗ 12.2, Вариант 14
Купить
$ 1.47
19.02.2025
0 продаж
Решебник Рябушко. Решенный ИДЗ 12.2, Вариант 17
Купить
$ 1.47
19.02.2025
0 продаж
Решебник Рябушко. Решенный ИДЗ 12.2, Вариант 22
Купить
$ 1.47
19.02.2025
0 продаж
Решебник Рябушко. Решенный ИДЗ 13.1, Вариант 2
Купить
$ 1.37
19.02.2025
0 продаж
Решебник Рябушко. Решенный ИДЗ 18.2, Вариант 9
Купить
$ 1.47
19.02.2025
0 продаж
Решебник Рябушко. Решенный ИДЗ 18.2, Вариант 13
Купить
$ 1.47
19.02.2025
0 продаж
Решебник Рябушко. Решенный ИДЗ 18.2, Вариант 26
Купить
$ 1.47
19.02.2025
0 продаж
Решебник Рябушко. Решенный ИДЗ 18.2, Вариант 28
Купить
$ 1.47
20.02.2025
0 продаж
Решебник Рябушко. Решенный ИДЗ 1.1, Вариант 7
Купить
$ 0.42
20.02.2025
0 продаж
Решебник Рябушко. Решенный ИДЗ 1.1, Вариант 30
Купить
$ 0.42

19.02.2025
1 продажа
Решебник Рябушко. Решенный ИДЗ 3.2, Вариант 22
Купить
$ 0.53

19.02.2025
0 продаж
Решебник Рябушко. Решенный ИДЗ 3.2, Вариант 30
Купить
$ 0.53