USSR SHOP »
Магазин » Решебник Рябушко. Решенный ИДЗ 4.1, Вариант 14
Купить Решебник Рябушко. Решенный ИДЗ 4.1, Вариант 14
Всего продаж: 0
✅ Методы оплаты: 








Описание товара:
1. Составить канонические уравнения: а) эллипса; б) гиперболы; в) параболы (А,В – точки, лежащие на кривой, F – фокус, а – большая (действительная) полуось, b – малая (мнимая) полуось, ε – эксцентриситет, y=±kx – уравнения асимптот гиперболы, D – директриса кривой, 2c – фокусное расстояние
1.14 a) b = 7, F(5, 0); б) a = 11, ε = 12/11; в) D: x = 10
2. Записать уравнение окружности, проходящей через указанные точки и имеющей центр в точке А.
2.14 Вершину гиперболы 2x2 – 9y2 = 18, A(0, 4)
3. Составить уравнение линии, каждая точка М которой удовлетворяет заданным условиям.
3.14 Отстоит от прямой x = 8 на расстоянии, в два раза большем, чем от точки A(−1, 7)
4. Построить кривую, заданную уравнением в полярной системе координат.
4.14 ρ = 3(2 – cos2φ)
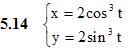
5. Построить кривую, заданную параметрическими уравнениями (0 ≤ t ≤ 2π)
5.14 x=2cos3t y=2sin3t
Решение оформлено в PDF формате
1.14 a) b = 7, F(5, 0); б) a = 11, ε = 12/11; в) D: x = 10
2. Записать уравнение окружности, проходящей через указанные точки и имеющей центр в точке А.
2.14 Вершину гиперболы 2x2 – 9y2 = 18, A(0, 4)
3. Составить уравнение линии, каждая точка М которой удовлетворяет заданным условиям.
3.14 Отстоит от прямой x = 8 на расстоянии, в два раза большем, чем от точки A(−1, 7)
4. Построить кривую, заданную уравнением в полярной системе координат.
4.14 ρ = 3(2 – cos2φ)
5. Построить кривую, заданную параметрическими уравнениями (0 ≤ t ≤ 2π)
5.14 x=2cos3t y=2sin3t
Решение оформлено в PDF формате