Гипермаркет » Купить Вариант 72 Задача 2.2. РГР по ТОЭ "по Бессонову ..."
USSR SHOP » Магазин » Электронные книги » Наука и образование » Контрольные работы » Вариант 72 Задача 2.2. РГР по ТОЭ "по Бессонову ..."
Вариант 72 Задача 2.2. РГР по ТОЭ \
$ 3.27 2 продажи
Методы оплаты:
Продавец: Freewriters
845 товаров
5 553 продаж
$ 3.27

E-mail адрес на который придет покупка:
  • Артикул товара: 1352008
  • Дата добавления: 30.07.2012 - 04.32
  • Тип товара: цифровой товар
  • Файл: 20730163238103.rar (14.69 Кб), загружен 30 июля 2012 г.
  • Продавец: Freewriters
  • Чат с продавцом:
    ЗАДАТЬ ВОПРОС

Описание товара:

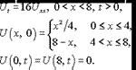
Расчётно-графическая работа №3 по ТОЭ "Трехфазные цепи" по задачнику «Теоретические основы электротехники: Методические указания и контрольные задания для студентов технических специальностей вузов» / Л.А. Бессонов, И.Г. Демидова, М.Е. Заруди и др. – 3-е изд., испр. – М.: Высш. шк., 2003. с. 33-43, задача 2.2, вариант 72, рис. 2.13, табл. 2.2
Решение выполнено в программе MathCad. Для того что бы распечатать решение задачи вам необходимо скачать и установить у себя на компьютере MathCad для открытия решения пригодна любая его версия. Внимательно сверьте исходные данные. Если цифры (величины сопротивлений, ЭДС) отличны от ваших – вводите свои данные, решение в MathCad автоматически изменяется (пересчитывается) при изменении исходных данных