USSR SHOP »
Магазин »
Электронные книги »
Наука и образование »
Контрольные работы » Тарг С.М. 1989 С1 вариант 69
Купить Тарг С.М. 1989 С1 вариант 69
Обновлено: 2025-10-23 10:21:13

$ 0.49
0 продаж
Всего продаж: 0
✅ Методы оплаты: 











Описание товара:
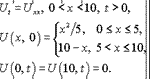
Жесткая рама расположена в вертикальной плоскости, закреплена в точке А шарнирно, а в точке В прикреплена или к невесомому стержню с шарнирами на концах, или к шарнирной опоре на катках. В точке С к раме привязан трос, перекинутый через блок и несущий на конце груз весом Р=25кН. На раму действуют пара сил с моментом М=100кНм и две силы ( см. таблицу ). Определить реакции связей в точках А и В. При окончательных расчетах принять а=0,5м. Дано: точка E: F2=20кН; α2=75; точка K: F3=30кН; α3=30.
Спасибо за покупку. Если возникнут вопросы, то пишите на почту ( см. "информация о продавце")
Спасибо за покупку. Если возникнут вопросы, то пишите на почту ( см. "информация о продавце")
Вас могут заинтересовать:

24.06.2017
17 продаж
Право социального обеспечения тест imei.anomir.ru 2017
Купить
$ 1.08

22.07.2021
6 продаж
Бизнеспланирование. Задание №6
Купить
$ 3.42

04.08.2020
2 продажи
Оценка и управление стоимостью организации
Купить
$ 4.88

19.05.2016
4 продажи
Гарбузова КР1 Вариант 06
Купить
$ 1.95

16.08.2019
1 продажа
Кейс задание. Исследование операций.
Купить
$ 3.91

22.07.2021
1 продажа
Международные стандарты учета и финансовой отчетности.
Купить
$ 4.88

09.10.2018
1 продажа
2-e задание. Римское право.
Купить
$ 2.44

03.08.2020
0 продаж
КР. 3-й вариант. Налоговое право.
Купить
$ 6.84

11.08.2019
0 продаж
КР. Организация производства.
Купить
$ 3.91

16.08.2019
0 продаж
Задания. Финансовый менеджмент.
Купить
$ 3.91

30.07.2020
0 продаж
Кейс Эссе
Купить
$ 5.37

27.01.2017
2 продажи
История мировых цивилизаций тест,30 вопросов с ответами
Купить
$ 1.08

19.12.2012
1 продажа
уголовное право контрольная
Купить
$ 0.98

09.06.2023
1 продажа
Тарг С.М. 1989 Д1 вариант 66
Купить
$ 0.49

15.11.2024
1 продажа
Байарыст 2018-1 №2 вариант 16
Купить
$ 0.33

08.01.2016
1 продажа
2 задачи (решение)
Купить
$ 1.47

07.03.2024
0 продаж
Ответы на ИДЗ 19.1 вариант 28 Рябушко часть 4
Купить
$ 0.95
07.03.2024
0 продаж
Ответы на ИДЗ 12.1 вариант 4 Рябушко часть 3
Купить
$ 1.2
05.03.2024
0 продаж
Ответы на ИДЗ 10.1 вариант 28 Рябушко часть 2
Купить
$ 1.3

03.11.2023
0 продаж
Байарыст 2018-2 №1 вариант 4
Купить
$ 1.42

13.11.2023
0 продаж
Тарг С.М. 1989 С4 вариант 17
Купить
$ 0.39

04.06.2023
0 продаж
Тарг С.М. 1989 К1 вариант 59
Купить
$ 0.49

17.07.2023
0 продаж
Тарг С.М. 1988 К2 вариант 01
Купить
$ 0.39

05.01.2024
0 продаж
Тарг С.М. 1989 К4 вариант 04
Купить
$ 0.39

29.07.2023
0 продаж
Тарг С.М. 1988 К3 вариант 17
Купить
$ 0.39

05.09.2021
0 продаж
Байарыст 2008 №7 вариант 2
Купить
$ 0.48
26.10.2024
0 продаж
Ответы на ИДЗ 3.1 и 3.2 вариант 9 Рябушко часть 1
Купить
$ 1.1

21.02.2025
0 продаж
Вариант 25 ИДЗ 13.3 Решебник Рябушко часть 3
Купить
$ 1.18

25.08.2020
0 продаж
Вариант 16 ИДЗ 11.1 Решебник Рябушко часть 2
Купить
$ 0.9

02.08.2020
0 продаж
Вариант 19 ИДЗ 15.2 Решебник Рябушко часть 3
Купить
$ 0.9

24.03.2020
0 продаж
Вариант 15 ИДЗ 8.2 Сборник ИДЗ Рябушко
Купить
$ 0.63

01.08.2020
0 продаж
Вариант 16 ИДЗ 6.1 Решебник Рябушко часть 1
Купить
$ 1.2
10.06.2025
0 продаж
Ответы на ИДЗ 13.3 вариант 30 Рябушко часть 3
Купить
$ 1.2
04.07.2013
2 продажи
Решение Д6 В96 (рис 9 усл 6) термех Тарг С.М. 1989 г.
Купить
$ 0.8
04.07.2013
3 продажи
Решение Д6 В79 (рис 7 усл 9) термех Тарг С.М. 1989 г.
Купить
$ 0.8
10.07.2013
1 продажа
Задача по термеху Д11 В98 (рис. 9 усл. 8) Тарг С.М. 89
Купить
$ 0.8

04.07.2013
48 продаж
Международные стандарты учета и финансовой отч. тест
Купить
$ 0.43
24.05.2013
10 продаж
Решение С1 рисунок 9 условие 3 (вариант 93) Тарг 1989
Купить
$ 0.8

26.07.2013
3 продажи
МГУПИ Расчет усилительного каскада с ОЭ (КТ104А) Вар.11
Купить
$ 11.72

01.08.2012
6 продаж
Вариант 10 Задача 3.1. РГР по ТОЭ по Бессонову
Купить
$ 5.56

15.08.2012
22 продажи
Решение задачи 12.18 из раздела 3 УМФ автор Чудесенко В
Купить
$ 0.75
03.07.2013
3 продажи
Контрольная работа Д4 В22 (рис 2 усл 2) термех Тарг 89г
Купить
$ 0.8
26.06.2013
8 продаж
Решение Д1 В85 (рисунок Д1.8 условие 5) термех Тарг 89
Купить
$ 0.8

05.07.2013
88 продаж
Русский язык и культура речи тест с ответами
Купить
$ 0.3
04.07.2013
9 продаж
Решение Д6 В75 (рис 7 усл 5) термех Тарг С.М. 1989 года
Купить
$ 0.8

18.01.2014
5 продаж
Вопрос 1. Конституционное право регулирует
Купить
$ 0.98
05.02.2014
0 продаж
Контрольная Логистика
Купить
$ 2.47
14.08.2012
10 продаж
Решение задачи 16.6 из раздела 3 УМФ автор Чудесенко ВФ
Купить
$ 0.75
14.08.2012
26 продаж
Решение задачи 4.5 из раздела 3 УМФ автор Чудесенко ВФ
Купить
$ 0.75