USSR SHOP »
Магазин »
Электронные книги »
Наука и образование »
Контрольные работы » Решение задачи 11.17 из раздела 3 УМФ автор Чудесенко В
Купить Решение задачи 11.17 из раздела 3 УМФ автор Чудесенко В
Обновлено: 2025-10-23 23:48:23

$ 0.75
9 продаж
Всего продаж: 9
✅ Методы оплаты: 











Описание товара:
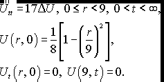
Решение задачи 11.17 (задача 11 вариант 17) по высшей математике из раздела: Уравнения Математической Физики (УМФ). Задачник: Чудесенко В.Ф. Сборник заданий по специальным курсам высшей математики (типовые расчеты). — Москва: Высшая школа. Решение подходит для изданий: 1983 (1994, 2005-2009) гг..
После оплаты вы получите архив zip. Решение выполнено в электронном виде и сохранено в виде картинки в формате tif. Открывается любой программой. Разрешение 300 dpi. Решение неоднократно сдавалось в ВУЗах России. Все недочёты исправлены.
Буду очень благодарна, если Вы оставите ПОЛОЖИТЕЛЬНЫЙ ОТЗЫВ после покупки.
СПАСИБО!
После оплаты вы получите архив zip. Решение выполнено в электронном виде и сохранено в виде картинки в формате tif. Открывается любой программой. Разрешение 300 dpi. Решение неоднократно сдавалось в ВУЗах России. Все недочёты исправлены.
Буду очень благодарна, если Вы оставите ПОЛОЖИТЕЛЬНЫЙ ОТЗЫВ после покупки.
СПАСИБО!
Изображения:
Вас могут заинтересовать:

27.04.2010
35 продаж
Контрольная РФЭИ Активы и пассивы, история БУ (2 шт.)
Купить
$ 5

13.01.2011
11 продаж
Найдите правовые акты в которых используются (2010)
Купить
$ 2

02.02.2013
5 продаж
Психология и педагогика контрольная МЭИ
Купить
$ 0.59
24.05.2013
5 продаж
Решение С1 рисунок 2 условие 6 (вариант 26) Тарг 1989
Купить
$ 0.8

16.03.2018
1 продажа
Информационные бухгалтерские системы тест МЭБИК
Купить
$ 3.07

03.02.2013
4 продажи
Философия тест 3 МЭИ
Купить
$ 0.29

04.03.2023
0 продаж
Цифровые технологии и базы данных в прикладных коммуник
Купить
$ 3.06

26.10.2016
2 продажи
Анализ и прогнозирование рынков труда контрольная,10 в
Купить
$ 2.02

23.11.2016
2 продажи
Зоопсихология тест с ответами,22 вопроса
Купить
$ 0.74

27.10.2018
0 продаж
БЖД. Вариант 7
Купить
$ 1.47

16.09.2022
1 продажа
Кутуков Б.Н. 1990 Задача 5 вариант 041
Купить
$ 0.98

27.01.2019
1 продажа
Регламентация и нормирование труда тест с ответами 30в
Купить
$ 2.02

14.12.2015
1 продажа
Технологии работы служб занятости
Купить
$ 0.78
20.02.2025
1 продажа
Вариант 8 ИДЗ 11.2 Решебник Рябушко часть 2
Купить
$ 1.18
07.03.2024
0 продаж
Ответы на ИДЗ 18.2 вариант 12 Рябушко часть 4
Купить
$ 1.4

05.10.2024
0 продаж
Ответы на ИДЗ 11.1 вариант 30 Рябушко часть 2
Купить
$ 0.95

04.03.2024
0 продаж
Ответы на ИДЗ 8.2 вариант 15 Рябушко часть 2
Купить
$ 0.95
07.03.2024
0 продаж
Ответы на ИДЗ 12.1 вариант 7 Рябушко часть 3
Купить
$ 1.2

07.03.2024
0 продаж
Ответы на ИДЗ 5.2 вариант 5 Рябушко часть 1
Купить
$ 0.79

22.08.2022
0 продаж
Кутуков Б.Н. 1990 Задача 5 вариант 030
Купить
$ 0.98

07.10.2023
0 продаж
Тарг С.М. 1988 Д2 вариант 48
Купить
$ 0.49

07.06.2023
0 продаж
Тарг С.М. 1989 Д1 вариант 96
Купить
$ 0.49

24.11.2023
0 продаж
Тарг С.М. 1988 С1 вариант 02
Купить
$ 0.49

02.06.2023
0 продаж
Тарг С.М. 1989 К1 вариант 78
Купить
$ 0.49

29.07.2024
0 продаж
Тарг С.М. 1988 Д3 вариант 08
Купить
$ 0.49

16.01.2021
0 продаж
Контр. раб. №1-5 Организация и технология строительства
Купить
$ 1.95

16.04.2022
0 продаж
Тарг С.М. 1988 С2 вариант 92
Купить
$ 0.49

13.07.2022
0 продаж
Тарг С.М. 1988 Д1 вариант 45
Купить
$ 0.49

16.01.2022
0 продаж
Байарыст 2018-1 №3 вариант 2
Купить
$ 0.37

11.08.2024
0 продаж
Информационные технологии в юридической деятельности 3в
Купить
$ 1.35

08.05.2022
0 продаж
145. Задачка по химии №014 5713
Купить
$ 1.02
10.06.2025
0 продаж
Ответы на ИДЗ 13.3 вариант 19 Рябушко часть 3
Купить
$ 1.2

10.09.2013
1 продажа
1 Прочитайте текст, ответьте письменно на поставленные
Купить
$ 1.22

05.07.2013
66 продаж
Отечественная история онлайн тест с ответами
Купить
$ 0.51
05.07.2013
2 продажи
Термех Тарг решение задачи Д7 В66 (рис 6 усл 6) 1989 г.
Купить
$ 0.8
04.07.2013
7 продаж
Решение Д6 В12 (рис 1 усл 2) термех Тарг С.М. 1989
Купить
$ 0.8
07.06.2013
6 продаж
Решение задачи К1 рис 2 усл 4 (вариант 24) Тарг С.М. 89
Купить
$ 0.8
10.06.2013
6 продаж
Решение задачи К1 рис 8 усл 2 (вариант 82) Тарг С.М. 89
Купить
$ 0.8
15.08.2012
15 продаж
Решение задачи 1.17 из раздела 3 УМФ автор Чудесенко В
Купить
$ 0.75
16.07.2013
7 продаж
Решение С2 Вариант 15 (рис. 1 усл. 5) термех Тарг 1988
Купить
$ 0.8
24.05.2013
6 продаж
Решение С1 рисунок 9 условие 0 (вариант 90) Тарг 1989
Купить
$ 0.8

13.10.2013
32 продажи
Антикризисное управление Контрольная работа с ответами
Купить
$ 0.51

02.07.2013
171 продажа
Логика тест с ответами 55 вопросов
Купить
$ 0.38

05.07.2013
46 продаж
Финансовый менеджмент контрольная с ответами,10 вопр.
Купить
$ 0.63

29.11.2013
18 продаж
Налоги и налогообложение практическая с ответами часть2
Купить
$ 0.63
23.06.2013
4 продажи
Решение задачи К4 В07 (рисунок К4.0 условие 7) Тарг 89
Купить
$ 0.8
22.05.2013
6 продаж
Решение С1 рисунок 0 условие 4 (вариант 04) Тарг 1989
Купить
$ 0.8