USSR SHOP »
Магазин »
Электронные книги »
Наука и образование »
Контрольные работы » Решение задачи 8.8 из раздела 3 УМФ автор Чудесенко ВФ
Купить Решение задачи 8.8 из раздела 3 УМФ автор Чудесенко ВФ
Обновлено: 2025-10-23 08:11:25
$ 0.75
6 продаж
Всего продаж: 6
✅ Методы оплаты: 











Описание товара:
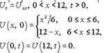
Решение задачи 8.8 (задача 8 вариант 8) по высшей математике из раздела: Уравнения Математической Физики (УМФ). Задачник: Чудесенко В.Ф. Сборник заданий по специальным курсам высшей математики (типовые расчеты). — Москва: Высшая школа. Решение подходит для изданий: 1983 (1994, 2005-2009) гг..
После оплаты вы получите архив zip. Решение выполнено в электронном виде и сохранено в виде картинки в формате tif. Открывается любой программой. Разрешение 300 dpi. Решение неоднократно сдавалось в ВУЗах России. Все недочёты исправлены.
Буду очень благодарна, если Вы оставите ПОЛОЖИТЕЛЬНЫЙ ОТЗЫВ после покупки.
СПАСИБО!
После оплаты вы получите архив zip. Решение выполнено в электронном виде и сохранено в виде картинки в формате tif. Открывается любой программой. Разрешение 300 dpi. Решение неоднократно сдавалось в ВУЗах России. Все недочёты исправлены.
Буду очень благодарна, если Вы оставите ПОЛОЖИТЕЛЬНЫЙ ОТЗЫВ после покупки.
СПАСИБО!
Изображения:
Вас могут заинтересовать:

26.03.2010
12 продаж
РФЭИ "КОНЦЕПЦИИ СОВРЕМЕННОГО ЕСТЕСТВОЗНАНИЯ" ЭКЗАМЕН
Купить
$ 3

23.06.2012
15 продаж
Назовите государственную систему предупреждения преступ
Купить
$ 1.23

03.10.2014
7 продаж
Гарбузова КР2 Вариант 24
Купить
$ 3.91

25.09.2015
1 продажа
Контрольная №1 вариант №80 материаловедение ЖД институт
Купить
$ 4.88

19.05.2016
3 продажи
Гарбузова КР1 Вариант 49
Купить
$ 1.95

26.06.2018
3 продажи
Управление результативностью организации тест,30 вопр
Купить
$ 1.62

22.07.2021
0 продаж
Технологические основы отрасли. 4-й вариант. 2 задачи.
Купить
$ 3.91

03.08.2020
0 продаж
Основы защиты личной информации. ЛР 2.
Купить
$ 6.35

22.07.2021
0 продаж
Конституционное право. Вариант №1.
Купить
$ 6.17
25.06.2015
0 продаж
Контрольная по эконометрике 4 вариант
Купить
$ 4.88

04.03.2023
0 продаж
Цифровые технологии и базы данных в прикладных коммуник
Купить
$ 2.44

16.11.2023
1 продажа
Тарг С.М. 1989 С4 вариант 34
Купить
$ 0.39

12.06.2023
1 продажа
Тарг С.М. 1989 Д1 вариант 19
Купить
$ 0.49

15.11.2024
1 продажа
Байарыст 2018-1 №2 вариант 16
Купить
$ 0.33
07.03.2024
0 продаж
Ответы на ИДЗ 19.2 вариант 30 Рябушко часть 4
Купить
$ 1.2

13.09.2023
0 продаж
Тарг С.М. 1988 К3 вариант 92
Купить
$ 0.39

17.11.2023
0 продаж
Тарг С.М. 1989 С4 вариант 42
Купить
$ 0.39

13.06.2024
0 продаж
Тарг С.М. 1988 К1 вариант 29
Купить
$ 0.39

11.06.2024
0 продаж
Тарг С.М. 1988 К1 вариант 21
Купить
$ 0.49

03.06.2024
0 продаж
Тарг С.М. 1988 К1 вариант 95
Купить
$ 0.49

29.07.2024
0 продаж
Тарг С.М. 1988 Д4 вариант 03
Купить
$ 0.49
10.06.2025
0 продаж
Ответы на ИДЗ 12.3 вариант 16 Рябушко часть 3
Купить
$ 1.5

24.01.2019
0 продаж
Контрольная работа №1-2 Экономика отрасли
Купить
$ 2.44

18.11.2024
0 продаж
Байарыст 2018-1 №4 вариант 15
Купить
$ 0.37

16.01.2022
0 продаж
Байарыст 2018-1 №3 вариант 6
Купить
$ 0.37

03.11.2022
0 продаж
Байарыст 2008 №1 вариант 4
Купить
$ 0.26
26.10.2024
0 продаж
Ответы на ИДЗ 2.1 и 2.2 вариант 15 Рябушко часть 1
Купить
$ 1.2

02.08.2020
0 продаж
Вариант 25 ИДЗ 13.1 Решебник Рябушко часть 3
Купить
$ 1.05

09.05.2019
0 продаж
Логика тест с ответами,часть 4,20 вопросов,2019
Купить
$ 1.77

24.05.2013
9 продаж
Решение С1 рисунок 3 условие 2 (вариант 32) Тарг 1989г.
Купить
$ 0.8
23.06.2013
3 продажи
Решение задачи К4 В05 (рисунок К4.0 условие 5) Тарг 89
Купить
$ 0.8
23.06.2013
3 продажи
Решение задачи К4 В30(рисунок К4.3 условие 0) Тарг 89
Купить
$ 0.8

15.08.2012
5 продаж
Решение задачи 12.27 из раздела 3 УМФ автор Чудесенко В
Купить
$ 0.75

01.08.2012
4 продажи
Вариант 07 Задача 3.1. РГР по ТОЭ по Бессонову
Купить
$ 4.39
12.06.2013
10 продаж
Решение задачи К2 рис 1 усл 5 (вариант 15) Тарг С.М. 89
Купить
$ 0.8

24.05.2013
8 продаж
Решение С2 рисунок 0 условие 4 (вариант 04) Тарг 1989
Купить
$ 0.8

08.10.2012
14 продаж
Общий менеджмент (ИЭФ)
Купить
$ 47.84
18.07.2013
2 продажи
К2 Вариант 30 (рис. 3 усл. 0) решение термех Тарг 1988г
Купить
$ 0.8
12.06.2013
15 продаж
Решение задачи К2 рис 0 усл 3 (вариант 03) Тарг С.М. 89
Купить
$ 0.8

22.03.2014
20 продаж
Международные экономические отношения контрольная,10 в.
Купить
$ 0.51

21.03.2014
10 продаж
Документационное обеспечение управления тест с ответами
Купить
$ 0.54

05.07.2013
58 продаж
Рынок ценных бумаг практическая с ответами 2,10 заданий
Купить
$ 0.3
19.06.2013
8 продаж
Решение контрольной К3 рис 3 усл 8 (вариант 38) Тарг 89
Купить
$ 0.8
07.06.2013
5 продаж
Решение задачи К1 рис 0 усл 8 (вариант 08) Тарг С.М. 89
Купить
$ 0.8
03.07.2013
1 продажа
Контрольная работа Д4 В72 (рис 7 усл 2) термех Тарг 89г
Купить
$ 0.8

10.01.2015
6 продаж
Управление общественными отношениями контрольная, 10 в.
Купить
$ 0.54

16.01.2017
12 продаж
Методы принятия управленческих решений контрольная ч3
Купить
$ 1.62
15.08.2012
15 продаж
Решение задачи 5.19 из раздела 3 УМФ автор Чудесенко В
Купить
$ 0.75
14.08.2012
41 продажа
Решение задачи 12.8 из раздела 3 УМФ автор Чудесенко ВФ
Купить
$ 0.75

13.11.2013
1 продажа
Экономический анализ тест
Купить
$ 0.78