USSR SHOP »
Магазин » Решение Д7-15 (Рисунок Д7.1 условие 5 С.М. Тарг 1989 г)
Купить Решение Д7-15 (Рисунок Д7.1 условие 5 С.М. Тарг 1989 г)
Обновлено: 2025-10-23 21:37:55
$ 0.61
0 продаж
Всего продаж: 0
✅ Методы оплаты: 










Описание товара:
Решение Д7-15 (Рисунок Д7.1 условие 5 С.М. Тарг 1989 г)
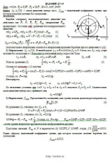
Барабан радиуса R весом P имеет выточку (как у катушки) радиуса r = 0,6R (рис. Д7.0 — Д7.9, табл. Д7). К концам намотанных на барабан нитей приложены постоянные силы F1 и F2, направления которых определяются углом β; кроме сил на барабан действует пара с моментом М; когда в таблице М<0, направление момента противоположно показанному на рисунке. При движении, начинающемся из состояния покоя, барабан катится без скольжения по шероховатой наклонной плоскости с углом наклона α так, как показано на рисунках. Пренебрегая сопротивлением качению, определить закон движения центра масс С барабана, т. е. xC = f(t), и наименьшее значение коэффициента трения f о плоскость, при котором возможно качение без скольжения. Барабан рассматривать как сплошной однородный цилиндр радиуса R.
Барабан радиуса R весом P имеет выточку (как у катушки) радиуса r = 0,6R (рис. Д7.0 — Д7.9, табл. Д7). К концам намотанных на барабан нитей приложены постоянные силы F1 и F2, направления которых определяются углом β; кроме сил на барабан действует пара с моментом М; когда в таблице М<0, направление момента противоположно показанному на рисунке. При движении, начинающемся из состояния покоя, барабан катится без скольжения по шероховатой наклонной плоскости с углом наклона α так, как показано на рисунках. Пренебрегая сопротивлением качению, определить закон движения центра масс С барабана, т. е. xC = f(t), и наименьшее значение коэффициента трения f о плоскость, при котором возможно качение без скольжения. Барабан рассматривать как сплошной однородный цилиндр радиуса R.
Изображения:
Вас могут заинтересовать:
12.11.2016
17 продаж
Решение задачи 9.6.13 из сборника Кепе О.Е. 1989 года
Купить
$ 0.79

11.11.2016
8 продаж
Решение задачи 7.7.4 из сборника Кепе О.Е. 1989 года
Купить
$ 0.63
08.12.2016
7 продаж
Решение 20.2.2 из сборника (решебника) Кепе О.Е. 1989
Купить
$ 0.79
11.12.2016
6 продаж
Задача 17.3.32 из сборника (решебника) Кепе О.Е. 1989
Купить
$ 0.79

21.07.2010
0 продаж
icq под дату рождения 13-1-1989
Купить
$ 1.85

29.04.2016
5 продаж
Решение Д1-69 (Рисунок Д1.6 условие 9 С.М. Тарг 1989 г)
Купить
$ 0.49
06.12.2016
5 продаж
Задача 17.4.4 из сборника (решебника) Кепе О.Е. 1989
Купить
$ 0.79
24.11.2016
5 продаж
Решение задачи 13.4.9 из сборника Кепе О.Е. 1989 года
Купить
$ 0.79
29.04.2016
4 продажи
Решение Д1-05 (Рисунок Д1.0 условие 5 С.М. Тарг 1989 г)
Купить
$ 0.61

10.11.2016
4 продажи
Решение задачи 5.4.4 из сборника Кепе О.Е. 1989 года
Купить
$ 0.63

19.07.2010
0 продаж
icq под дату рождения 1989-07-08
Купить
$ 1.23

16.12.2016
3 продажи
Решение задачи 16.3.2 из сборника Кепе О.Е. 1989 года
Купить
$ 0.78
22.04.2016
2 продажи
Решение С2-96 (Рисунок С2.9 условие 6 С.М. Тарг 1989 г)
Купить
$ 0.61
25.04.2016
2 продажи
Решение К1-66 (Рисунок К1.6 условие 6 С.М. Тарг 1989 г)
Купить
$ 0.62
25.04.2016
2 продажи
Решение К1-22 (Рисунок К1.2 условие 2 С.М. Тарг 1989 г)
Купить
$ 0.62
12.12.2016
3 продажи
Решение 22.4.1 из сборника (решебника) Кепе О.Е. 1989
Купить
$ 0.79

14.07.2010
0 продаж
icq под дату рождения 13-08-1989-4
Купить
$ 0.62

14.07.2010
0 продаж
icq под дату рождения 12-07-1989-4
Купить
$ 0.62

20.07.2010
0 продаж
icq под дату рождения 27-6-1989-0
Купить
$ 0.61

30.07.2010
0 продаж
icq под дату рождения 19-10-1989-7 (cl)
Купить
$ 0.61

11.11.2016
2 продажи
Решение задачи 7.7.5 из сборника Кепе О.Е. 1989 года
Купить
$ 0.63

24.11.2016
2 продажи
Решение задачи 13.6.24 из сборника Кепе О.Е. 1989 года
Купить
$ 0.63
14.11.2019
2 продажи
Решение задачи 13.4.24 из сборника Кепе О.Е. 1989 года
Купить
$ 0.79

06.03.2021
2 продажи
Решение задачи 12.2.3 из сборника Кепе О.Е. 1989 года
Купить
$ 0.63

02.06.2016
1 продажа
Решение Д6-94 (Рисунок Д6.9 условие 4 С.М. Тарг 1989 г)
Купить
$ 0.49

07.06.2023
1 продажа
Тарг С.М. 1989 Д1 вариант 86
Купить
$ 0.49
29.04.2016
1 продажа
Решение Д1-38 (Рисунок Д1.3 условие 8 С.М. Тарг 1989 г)
Купить
$ 0.61
26.04.2016
1 продажа
Решение К2-75 (Рисунок К2.7 условие 5 С.М. Тарг 1989 г)
Купить
$ 0.61

16.03.2016
1 продажа
Решение С1-04 (Рисунок С1.0 условие 4 С.М. Тарг 1989 г)
Купить
$ 0.49
18.03.2016
1 продажа
Решение С1-32 (Рисунок С1.3 условие 2 С.М. Тарг 1989 г)
Купить
$ 0.62

19.06.2023
0 продаж
Тарг С.М. 1989 С4 вариант 01
Купить
$ 0.49

15.11.2023
0 продаж
Тарг С.М. 1989 С4 вариант 26
Купить
$ 0.49

10.01.2024
0 продаж
Тарг С.М. 1989 К3 вариант 02
Купить
$ 0.49
25.04.2016
0 продаж
Решение С3-94 (Рисунок С3.9 условие 4 С.М. Тарг 1989 г)
Купить
$ 0.61

26.04.2016
0 продаж
Решение К2-98 (Рисунок К2.9 условие 8 С.М. Тарг 1989 г)
Купить
$ 0.49

26.04.2016
0 продаж
Решение К3-05 (Рисунок К3.0 условие 5 С.М. Тарг 1989 г)
Купить
$ 0.49

26.04.2016
0 продаж
Решение К3-42 (Рисунок К3.4 условие 2 С.М. Тарг 1989 г)
Купить
$ 0.49
26.04.2016
0 продаж
Решение К4-34 (Рисунок К4.3 условие 4 С.М. Тарг 1989 г)
Купить
$ 0.62

26.04.2016
0 продаж
Решение К4-81 (Рисунок К4.8 условие 1 С.М. Тарг 1989 г)
Купить
$ 0.49

26.05.2016
0 продаж
Решение Д2-15 (Рисунок Д2.1 условие 5 С.М. Тарг 1989 г)
Купить
$ 0.49
26.05.2016
0 продаж
Решение Д2-91 (Рисунок Д2.9 условие 1 С.М. Тарг 1989 г)
Купить
$ 0.61
26.05.2016
0 продаж
Решение Д3-15 (Рисунок Д3.1 условие 5 С.М. Тарг 1989 г)
Купить
$ 0.61

26.05.2016
0 продаж
Решение Д3-82 (Рисунок Д3.8 условие 2 С.М. Тарг 1989 г)
Купить
$ 0.49
03.06.2016
0 продаж
Решение Д9-47 (Рисунок Д9.4 условие 7 С.М. Тарг 1989 г)
Купить
$ 0.62

03.06.2016
0 продаж
Решение Д9-67 (Рисунок Д9.6 условие 7 С.М. Тарг 1989 г)
Купить
$ 0.49
14.11.2019
0 продаж
Решение 22.2.8 из сборника (решебника) Кепе О.Е. 1989
Купить
$ 0.79
24.05.2013
7 продаж
Решение С1 рисунок 9 условие 4 (вариант 94) Тарг 1989
Купить
$ 0.8
24.05.2013
11 продаж
Решение С1 рисунок 8 условие 8 (вариант 88) Тарг 1989
Купить
$ 0.8
24.05.2013
9 продаж
Решение С1 рисунок 9 условие 8 (вариант 98) Тарг 1989
Купить
$ 0.8
05.07.2013
3 продажи
Термех Тарг решение задачи Д7 В22 (рис 2 усл 2) 1989 г.
Купить
$ 0.8