USSR SHOP »
Магазин » Привод к вертикальному валу цепного конвейера задание 1
Купить Привод к вертикальному валу цепного конвейера задание 1
Обновлено: 2025-10-23 09:24:10

$ 12
0 продаж
Всего продаж: 0
✅ Методы оплаты: 










Описание товара:
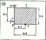
Привод к вертикальному валу цепного конвейера задание 1 вариант 8
Вас могут заинтересовать:
14.03.2016
15 продаж
Решение задачи Д3 (задание 2) Вариант 24 Диевский В.А.
Купить
$ 0.79
08.01.2016
14 продаж
Решение задачи Д7 (задание 1) Вариант 01 Диевский В.А.
Купить
$ 0.79
05.09.2018
7 продаж
Диевский В.А. - Решение задачи Д4 вариант 13 задание 2
Купить
$ 0.74

10.01.2017
3 продажи
Начинающий руководитель. Кейс задание.
Купить
$ 4.4

31.03.2017
3 продажи
Кейс задание. Hewlett-Packard.
Купить
$ 5.86

31.08.2016
0 продаж
Привод к цепному конвейеру, задание 9, вариант 4
Купить
$ 12
22.12.2017
4 продажи
Диевский В.А. - Решение задачи Д7 вариант 10 задание 1
Купить
$ 0.73

07.07.2022
1 продажа
Задание 1. БУ и отчетность.
Купить
$ 3.42

17.07.2019
0 продаж
Творческое задание. Реклама.
Купить
$ 3.91

17.07.2019
0 продаж
Кейс задание 1. Вариант 2. Реклама.
Купить
$ 4.4

02.12.2017
0 продаж
Задание. Принятие управленческих решений.
Купить
$ 4.39

07.07.2022
0 продаж
Задание 5. БУ и отчетность.
Купить
$ 3.42

29.03.2018
0 продаж
Русский язык. Задание №5. Вопросы + Тест.
Купить
$ 3.42

20.01.2021
0 продаж
Аудит. Задание.
Купить
$ 4.88

09.07.2019
0 продаж
Кейс задание 2. Вариант 1. Психология здоровья.
Купить
$ 4.88

07.07.2022
0 продаж
Экономика. Задание 3.
Купить
$ 2.93

09.10.2018
0 продаж
ТК-8 задание.
Купить
$ 2.93

09.10.2018
0 продаж
Сравнение правовых систем. Задание 1.
Купить
$ 5.86

06.06.2016
2 продажи
Решение задачи Д7 (задание 2) Вариант 18 Диевский В.А.
Купить
$ 0.89

22.12.2017
1 продажа
Диевский В.А. - Решение задачи Д7 вариант 3 задание 1
Купить
$ 0.59
22.12.2017
1 продажа
Диевский В.А. - Решение задачи Д7 вариант 5 задание 2
Купить
$ 0.74

30.03.2016
1 продажа
Задание К1 вариант 95, решебник Тарг С.М. 1983 года
Купить
$ 0.51
13.04.2021
1 продажа
Диевский В.А. - Решение задачи Д4 вариант 13 задание 1
Купить
$ 0.74
13.04.2021
1 продажа
Решение задачи Д3 вариант 24 задание 2 - Диевский В.А.
Купить
$ 0.74

07.07.2019
0 продаж
Вариант №4. Кейс задание 1. ПР продукт.
Купить
$ 2.47

08.07.2019
0 продаж
Практическое задание №5. УП.
Купить
$ 1.95

07.07.2019
0 продаж
Задание базового уровня 1 НФЛdoc
Купить
$ 1.95

30.03.2016
0 продаж
Задание К1 вариант 58, решебник Тарг С.М. 1983 года
Купить
$ 0.51

30.03.2016
0 продаж
Задание К1 вариант 68, решебник Тарг С.М. 1983 года
Купить
$ 0.51

23.05.2017
0 продаж
Решебник Арутюнова Ю.С. Задание N284 Высшая математика
Купить
$ 0.57

16.03.2017
4 продажи
Задание 12.31 раздела 3 УМФ из решебника Чудесенко В.Ф.
Купить
$ 0.46

18.01.2014
12 продаж
Задание 1. Приведите пример кассационной жалобы по жили
Купить
$ 0.98

12.07.2017
1 продажа
Решебник Арутюнова Ю.С. Задание N411 Высшая математика
Купить
$ 0.25

28.07.2017
1 продажа
Решебник Арутюнова Ю.С. Задание N444 Высшая математика
Купить
$ 0.25

03.12.2016
1 продажа
Решебник Арутюнова Ю.С. Задание N2 Высшая математика
Купить
$ 0.25

09.12.2016
1 продажа
Решебник Арутюнова Ю.С. Задание N578 Высшая математика
Купить
$ 0.16

06.03.2013
0 продаж
РГР: В.Н.Кунин А.Ф.Галкин 2007г. задание 2.9
Купить
$ 0.24

04.12.2016
0 продаж
Решебник Арутюнова Ю.С. Задание N15 Высшая математика
Купить
$ 0.41

12.08.2017
0 продаж
Решебник Арутюнова Ю.С. Задание N96 Высшая математика
Купить
$ 0.33

16.08.2017
0 продаж
Решебник Арутюнова Ю.С. Задание N121 Высшая математика
Купить
$ 0.25

16.08.2017
0 продаж
Решебник Арутюнова Ю.С. Задание N126 Высшая математика
Купить
$ 0.25

17.08.2017
0 продаж
Решебник Арутюнова Ю.С. Задание N146 Высшая математика
Купить
$ 0.49

20.08.2017
0 продаж
Решебник Арутюнова Ю.С. Задание N174 Высшая математика
Купить
$ 0.25

23.08.2017
0 продаж
Решебник Арутюнова Ю.С. Задание N207 Высшая математика
Купить
$ 0.33

31.05.2017
0 продаж
Решебник Арутюнова Ю.С. Задание N245 Высшая математика
Купить
$ 0.41

10.06.2017
0 продаж
Решебник Арутюнова Ю.С. Задание N343 Высшая математика
Купить
$ 0.25

23.06.2017
0 продаж
Решебник Арутюнова Ю.С. Задание N400 Высшая математика
Купить
$ 0.25

30.07.2017
0 продаж
Решебник Арутюнова Ю.С. Задание N455 Высшая математика
Купить
$ 0.25

11.12.2016
0 продаж
Решебник Арутюнова Ю.С. Задание N539 Высшая математика
Купить
$ 0.25

09.12.2016
1 продажа
Решебник Арутюнова Ю.С. Задание N570 Высшая математика
Купить
$ 0.16