USSR SHOP »
Магазин » Решебник Арутюнова Ю.С. Задание N114 Высшая математика
Купить Решебник Арутюнова Ю.С. Задание N114 Высшая математика
Обновлено: 2025-12-12 16:31:03
$ 0.53
0 продаж
Всего продаж: 0
✅ Методы оплаты: 







Описание товара:
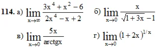
Готовое решение задачи. Решебник Арутюнова. Задание №114.
111 – 120. Найти пределы функций, не пользуясь правилом Лопиталя.
Если у вас похожее задание, прорешаю на заказ, пишите мне http://fizmathim.plati.ru
Подробное решение. Оформлено в Microsoft Word 2003 (Задание решено с использованием редактора формул)
111 – 120. Найти пределы функций, не пользуясь правилом Лопиталя.
Если у вас похожее задание, прорешаю на заказ, пишите мне http://fizmathim.plati.ru
Подробное решение. Оформлено в Microsoft Word 2003 (Задание решено с использованием редактора формул)
Изображения:
Вас могут заинтересовать:
14.03.2016
25 продаж
Решение задачи Д3 (задание 2) Вариант 06 Диевский В.А.
Купить
$ 0.82
26.11.2015
13 продаж
Решение задачи Д3 Вариант 12 (задание 1, 2) Диевский ВА
Купить
$ 1.48
22.12.2017
5 продаж
Диевский В.А. - Решение задачи Д7 вариант 8 задание 1
Купить
$ 0.76
27.11.2015
4 продажи
Решение задачи Д3 Вариант 25 (задание 1, 2) Диевский ВА
Купить
$ 1.48
10.07.2019
1 продажа
Кейс задание №2. Вариант №1. Основы ГМУ.
Купить
$ 4.93
22.07.2021
1 продажа
Практическое задание к теме №3. Экономика.
Купить
$ 4.88
05.09.2018
3 продажи
Диевский В.А. - Решение задачи Д4 вариант 23 задание 2
Купить
$ 0.74
07.07.2022
0 продаж
Задание 5. БУ и отчетность.
Купить
$ 4.47
22.12.2017
2 продажи
Диевский В.А. - Решение задачи Д7 вариант 16 задание 2
Купить
$ 0.79
19.02.2025
2 продажи
Решебник Рябушко. Решенный ИДЗ 4.1, Вариант 17
Купить
$ 1.26
27.04.2016
1 продажа
Решение Д7 В79, решебник по термеху Тарг С.М. 1982 г.
Купить
$ 0.82
31.05.2016
1 продажа
Решение К3 вар. 08, решебник термех Тарг С.М. 1982 г.
Купить
$ 0.82
31.05.2016
1 продажа
Решение задачи К4 В 14, решебник термех Тарг С.М. 1982
Купить
$ 0.84
13.01.2019
1 продажа
Решение К1 вариант 77, решебник Тарг С.М. 1982 года
Купить
$ 0.82
24.03.2016
1 продажа
Решение К1 вариант 02, решебник Тарг С.М. 1982 года
Купить
$ 0.82
12.04.2016
1 продажа
Решение задачи Д1 Вариант 34, решебник Тарг С.М. 1983
Купить
$ 0.67
06.11.2018
1 продажа
Решебник Рябушко. Решенный ИДЗ 13.2, Вариант 10
Купить
$ 0.82
19.02.2025
1 продажа
Решебник Рябушко. Решенный ИДЗ 19.1, Вариант 27
Купить
$ 1.37
20.02.2025
1 продажа
Вариант 5 ИДЗ 13.1 Решебник Рябушко часть 3
Купить
$ 1.37
20.02.2025
1 продажа
Вариант 3 ИДЗ 8.4 Решебник Рябушко часть 2
Купить
$ 1.57
20.02.2025
1 продажа
Вариант 9 ИДЗ 13.1 Решебник Рябушко часть 3
Купить
$ 1.37
21.02.2025
1 продажа
Вариант 18 ИДЗ 6.2 Решебник Рябушко часть 1
Купить
$ 1.37
21.02.2025
1 продажа
Вариант 19 ИДЗ 13.1 Решебник Рябушко часть 3
Купить
$ 1.37
20.02.2025
1 продажа
Вариант 7 ИДЗ 8.2 Решебник Рябушко часть 2
Купить
$ 1.27
20.02.2025
1 продажа
Вариант 8 ИДЗ 11.2 Решебник Рябушко часть 2
Купить
$ 1.18
21.02.2025
1 продажа
Вариант 14 ИДЗ 3.1 Решебник Рябушко часть 1
Купить
$ 0.69
20.02.2025
1 продажа
Вариант 9 ИДЗ 4.1 Решебник Рябушко часть 1
Купить
$ 1.18
21.02.2025
1 продажа
Вариант 13 ИДЗ 8.2 Решебник Рябушко часть 2
Купить
$ 1.27
21.02.2025
1 продажа
Вариант 13 ИДЗ 10.2 Решебник Рябушко часть 2
Купить
$ 1.18
21.02.2025
1 продажа
Вариант 17 ИДЗ 8.2 Решебник Рябушко часть 2
Купить
$ 1.3
21.02.2025
1 продажа
Вариант 20 ИДЗ 14.1 Решебник Рябушко часть 3
Купить
$ 1.08
21.02.2025
1 продажа
Вариант 21 ИДЗ 15.2 Решебник Рябушко часть 3
Купить
$ 1.18
21.02.2025
1 продажа
Вариант 26 ИДЗ 8.2 Решебник Рябушко часть 2
Купить
$ 1.3
29.12.2017
1 продажа
Вариант 29 ИДЗ 2.2 Решебник Рябушко часть 1
Купить
$ 0.53
14.04.2016
0 продаж
Решение Д6 В55, решебник термех Тарг С.М. 1983 года
Купить
$ 3.33
21.02.2025
0 продаж
Вариант 19 ИДЗ 10.2 Решебник Рябушко часть 2
Купить
$ 1.18
13.01.2019
0 продаж
Решение К1 вариант 21, решебник Тарг С.М. 1982 года
Купить
$ 0.82
13.01.2019
0 продаж
Решение Д6 В44, решебник по термеху Тарг С.М. 1982 г.
Купить
$ 1.15
13.04.2016
0 продаж
Решение Д9 Вар. 08, решебник термех Тарг С.М. 1983 г.
Купить
$ 0.69
23.05.2016
0 продаж
Задача С4 вариант 62, решебник термех Тарг С.М. 1982 г
Купить
$ 0.84
23.05.2016
0 продаж
Задача С4 вариант 80, решебник термех Тарг С.М. 1982 г
Купить
$ 0.84
06.06.2016
0 продаж
Решение задачи Д1 В 99 решебник термех Тарг С.М. 1982
Купить
$ 0.83
10.02.2017
0 продаж
Решение задачи Д4 В 20, решебник Тарг С.М. 1982 года
Купить
$ 0.79
10.02.2017
0 продаж
Решение задачи Д4 В 46, решебник Тарг С.М. 1982 года
Купить
$ 0.8
10.02.2017
0 продаж
Решение задачи Д4 В 71, решебник Тарг С.М. 1982 года
Купить
$ 0.82
17.08.2017
0 продаж
Решебник Арутюнова Ю.С. Задание N148 Высшая математика
Купить
$ 0.63
16.03.2017
0 продаж
Задание 10.31 раздела 3 УМФ из решебника Чудесенко В.Ф.
Купить
$ 0.6
12.04.2019
0 продаж
2.Самостоятельная работа управление персоналом Задание
Купить
$ 1.97
21.08.2017
2 продажи
Решебник Арутюнова Ю.С. Задание N186 Высшая математика
Купить
$ 0.32
05.08.2017
1 продажа
Решебник Арутюнова Ю.С. Задание N21 Высшая математика
Купить
$ 0.32