USSR SHOP »
Магазин » Решебник Арутюнова Ю.С. Задание N148 Высшая математика
Купить Решебник Арутюнова Ю.С. Задание N148 Высшая математика
Обновлено: 2025-10-23 18:15:49

$ 0.49
0 продаж
Всего продаж: 0
✅ Методы оплаты: 





Описание товара:
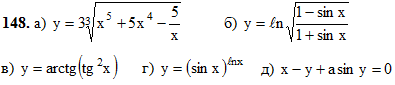
Готовое решение задачи. Решебник Арутюнова. Задание №148.
141 – 150. Найти производные dy/dx данных функций
Если у вас похожее задание, прорешаю на заказ, пишите мне http://fizmathim.plati.ru
Подробное решение. Оформлено в Microsoft Word 2003 (Задание решено с использованием редактора формул)
141 – 150. Найти производные dy/dx данных функций
Если у вас похожее задание, прорешаю на заказ, пишите мне http://fizmathim.plati.ru
Подробное решение. Оформлено в Microsoft Word 2003 (Задание решено с использованием редактора формул)
Изображения:
Вас могут заинтересовать:
09.08.2018
77 продаж
Макеты для оформления "Веселая математика"
Купить
$ 5.33

14.03.2016
20 продаж
Решение задачи Д3 (задание 1) Вариант 08 Диевский В.А.
Купить
$ 0.63

23.02.2013
13 продаж
Итоговый экзамен РФЭИ Математика 100 вопросов 2012 год
Купить
$ 2.2

30.09.2018
6 продаж
Задание №2. Международные финансы.
Купить
$ 4.32

30.08.2016
0 продаж
Привод к цепному конвейеру задание 6, вариант 3
Купить
$ 12

27.10.2018
1 продажа
БухУчет. Задание 2.
Купить
$ 2.44

10.01.2017
0 продаж
Индивидуальное задание по дисциплине Деньги, кредит, ба
Купить
$ 8.61

04.08.2020
0 продаж
Практическое задание №1. Группировка хозяйственных сред
Купить
$ 3.42

29.01.2017
0 продаж
Экономика персонала. 2 задания. Практическое задание.
Купить
$ 3.42

22.07.2021
0 продаж
Документооборот. Практическое задание №4.
Купить
$ 4.88

10.04.2017
0 продаж
Часть 2-я. Вариант №6. УЧР. Кейс-задание №1.
Купить
$ 6.12

05.08.2020
0 продаж
Задание 5.3. Экономика.
Купить
$ 2.93

03.01.2020
2 продажи
Решебник Кузнецова Л.А. Векторный анализ - Вариант 11
Купить
$ 1.23

19.02.2025
2 продажи
Решебник Рябушко. Решенный ИДЗ 18.1, Вариант 15
Купить
$ 1.47
22.12.2017
1 продажа
Диевский В.А. - Решение задачи Д7 вариант 9 задание 2
Купить
$ 0.73
10.02.2017
1 продажа
Решение К2 вар. 11, решебник теормех Тарг С.М. 1982 г.
Купить
$ 0.79
19.02.2025
1 продажа
Решебник Рябушко. Решенный ИДЗ 9.1, Вариант 12
Купить
$ 1.26
19.02.2025
1 продажа
Решебник Рябушко. Решенный ИДЗ 18.2, Вариант 22
Купить
$ 1.47
20.02.2025
1 продажа
Вариант 2 ИДЗ 6.2 Решебник Рябушко часть 1
Купить
$ 1.37
20.02.2025
1 продажа
Вариант 1 ИДЗ 2.1 Решебник Рябушко часть 1
Купить
$ 0.69
20.02.2025
1 продажа
Вариант 8 ИДЗ 13.3 Решебник Рябушко часть 3
Купить
$ 1.18
21.02.2025
1 продажа
Вариант 17 ИДЗ 11.3 Решебник Рябушко часть 2
Купить
$ 1.18
21.02.2025
1 продажа
Вариант 24 ИДЗ 15.1 Решебник Рябушко часть 3
Купить
$ 1.18
21.02.2025
1 продажа
Вариант 26 ИДЗ 11.1 Решебник Рябушко часть 2
Купить
$ 1.18
21.02.2025
1 продажа
Вариант 28 ИДЗ 1.2 Решебник Рябушко часть 1
Купить
$ 0.98
21.02.2025
1 продажа
Вариант 29 ИДЗ 14.1 Решебник Рябушко часть 3
Купить
$ 1.08
13.04.2021
1 продажа
Диевский В.А. - Решение задачи Д4 вариант 27 задание 1
Купить
$ 0.74

07.07.2022
0 продаж
Физиология. Задание 1.
Купить
$ 2.93

20.06.2020
0 продаж
РЕШЕБНИК РЯБУШКО А. П. ЧАСТЬ 2 Вариант 2. ВСЕ ЗАДАНИЯ.
Купить
$ 3.43

19.01.2017
0 продаж
Решение Д3 В61, решебник по термеху Тарг С.М. 1982 г.
Купить
$ 1.57

15.01.2017
0 продаж
Решебник Кузнецова Л.А. Дифференцирование - Вариант 09
Купить
$ 1.64

16.01.2017
0 продаж
Решебник Кузнецова Л.А. Пределы - Вариант 04
Купить
$ 1.64

02.08.2020
0 продаж
Вариант 18 ИДЗ 13.3 Решебник Рябушко часть 3
Купить
$ 0.9

02.08.2020
0 продаж
Вариант 23 ИДЗ 13.3 Решебник Рябушко часть 3
Купить
$ 0.9

30.03.2016
0 продаж
Задание К1 вариант 85, решебник Тарг С.М. 1983 года
Купить
$ 0.51

13.04.2016
0 продаж
Задача Д3 Вариант 86, решебник термех Тарг С.М. 1983 г
Купить
$ 0.53
13.04.2016
0 продаж
Решение Д9 Вар. 99, решебник термех Тарг С.М. 1983 г.
Купить
$ 0.65
27.04.2016
0 продаж
Решение Д7 В71, решебник по термеху Тарг С.М. 1982 г.
Купить
$ 0.79

23.05.2016
0 продаж
Задача С4 вариант 02, решебник термех Тарг С.М. 1982 г
Купить
$ 0.63

23.05.2016
0 продаж
Задача С4 вариант 45, решебник термех Тарг С.М. 1982 г
Купить
$ 0.63

23.05.2016
0 продаж
Задача С4 вариант 60, решебник термех Тарг С.М. 1982 г
Купить
$ 0.63
23.05.2016
0 продаж
Решение С5 вар. 06, решебник теормех Тарг С.М. 1982 г.
Купить
$ 0.79
31.05.2016
0 продаж
Решение задачи К4 В 62, решебник термех Тарг С.М. 1982
Купить
$ 0.79

31.05.2016
0 продаж
Решение задачи К4 В 88, решебник термех Тарг С.М. 1982
Купить
$ 0.63

16.03.2017
1 продажа
Задание 11.31 раздела 3 УМФ из решебника Чудесенко В.Ф.
Купить
$ 0.46

30.12.2014
2 продажи
Финансовая математика: задача 0002
Купить
$ 0.55

30.07.2017
1 продажа
Решебник Арутюнова Ю.С. Задание N458 Высшая математика
Купить
$ 0.25
16.08.2017
0 продаж
Решебник Арутюнова Ю.С. Задание N135 Высшая математика
Купить
$ 0.32

17.08.2017
0 продаж
Решебник Арутюнова Ю.С. Задание N147 Высшая математика
Купить
$ 0.49

10.06.2017
0 продаж
Решебник Арутюнова Ю.С. Задание N349 Высшая математика
Купить
$ 0.32