USSR SHOP »
Магазин » Решебник Арутюнова Ю.С. Задание N132 Высшая математика
Купить Решебник Арутюнова Ю.С. Задание N132 Высшая математика
Обновлено: 2025-10-24 01:49:57

$ 0.25
1 продажа
Всего продаж: 1
✅ Методы оплаты: 





Описание товара:
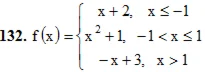
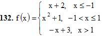
Готовое решение задачи. Решебник Арутюнова. Задание №132.
131 – 140. Задана функция y=f(x). Найти точки разрыва функции, если они существуют. Сделать чертеж.
Если у вас похожее задание, прорешаю на заказ, пишите мне http://fizmathim.plati.ru
Подробное решение. Оформлено в Microsoft Word 2003 (Задание решено с использованием редактора формул)
131 – 140. Задана функция y=f(x). Найти точки разрыва функции, если они существуют. Сделать чертеж.
Если у вас похожее задание, прорешаю на заказ, пишите мне http://fizmathim.plati.ru
Подробное решение. Оформлено в Microsoft Word 2003 (Задание решено с использованием редактора формул)
Изображения:
Вас могут заинтересовать:
14.01.2019
24 продажи
Расчетно-графическая работа 3. Задание 1. Вариант 9
Купить
$ 1.45

07.09.2016
7 продаж
Образовательный маркетинг. Задание 2.
Купить
$ 1.95
05.09.2018
9 продаж
Диевский В.А. - Решение задачи Д4 вариант 14 задание 2
Купить
$ 0.73

30.08.2016
1 продажа
Привод к цепному конвейеру, задание 5, вариант 7
Купить
$ 12

03.03.2011
5 продаж
РФЭИ "Математика" 100в ИТОГОВЫЙ ЭКЗАМЕН
Купить
$ 5

06.07.2017
2 продажи
Задание №1. Поиск кандидатов.
Купить
$ 3.91

09.07.2019
1 продажа
Вариант 5. Кейс задание 1.
Купить
$ 3.91

17.07.2018
0 продаж
Менеджмент. Задание 9.1. и Задание 6.2.
Купить
$ 4.94

17.07.2019
0 продаж
Общие условия государственной службы. Задание 5.
Купить
$ 2.93

18.04.2010
1 продажа
Лабораторная РФЭИ Математика №2
Купить
$ 1.72

24.03.2016
2 продажи
Решение К1 вариант 98, решебник Тарг С.М. 1982 года
Купить
$ 0.61
06.06.2016
2 продажи
Решение задачи Д1 В 11, решебник термех Тарг С.М. 1982
Купить
$ 0.79
20.02.2012
1 продажа
Дискретна математика - Теорія множин НУ"ЛП" В-20
Купить
$ 0.52
31.05.2016
1 продажа
Решение задачи К4 В 03, решебник термех Тарг С.М. 1982
Купить
$ 0.79
31.05.2016
1 продажа
Решение задачи К4 В 12, решебник термех Тарг С.М. 1982
Купить
$ 0.79

21.02.2025
1 продажа
Вариант 17 ИДЗ 11.1 Решебник Рябушко часть 2
Купить
$ 1.18
31.05.2016
1 продажа
Решение задачи К4 В 41, решебник термех Тарг С.М. 1982
Купить
$ 0.79

27.06.2017
1 продажа
Решебник Арутюнова Ю.С. Задание N408 Высшая математика
Купить
$ 0.57

19.02.2025
1 продажа
Решебник Рябушко. Решенный ИДЗ 11.3, Вариант 8
Купить
$ 1.16
20.02.2025
1 продажа
Вариант 10 ИДЗ 13.1 Решебник Рябушко часть 3
Купить
$ 1.37
20.02.2025
1 продажа
Вариант 6 ИДЗ 6.2 Решебник Рябушко часть 1
Купить
$ 1.37
21.02.2025
1 продажа
Вариант 30 ИДЗ 8.4 Решебник Рябушко часть 2
Купить
$ 1.57
20.02.2025
1 продажа
Вариант 1 ИДЗ 8.1 Решебник Рябушко часть 2
Купить
$ 0.98
20.02.2025
1 продажа
Вариант 4 ИДЗ 13.2 Решебник Рябушко часть 3
Купить
$ 1.18
20.02.2025
1 продажа
Вариант 6 ИДЗ 11.4 Решебник Рябушко часть 2
Купить
$ 1.18
21.02.2025
1 продажа
Вариант 15 ИДЗ 13.3 Решебник Рябушко часть 3
Купить
$ 1.18
21.02.2025
1 продажа
Вариант 22 ИДЗ 6.4 Решебник Рябушко часть 1
Купить
$ 1.08
21.02.2025
1 продажа
Вариант 24 ИДЗ 2.1 Решебник Рябушко часть 1
Купить
$ 0.69
13.04.2021
1 продажа
Решение задачи Д3 вариант 3 задание 1 - Диевский В.А.
Купить
$ 0.74
![Математика [темы 7-12] (ответы на тесты Синергия](/templates/tpl/images/product.jpg)
04.08.2023
0 продаж
Математика [темы 7-12] (ответы на тесты Синергия
Купить
$ 4.32

21.02.2025
0 продаж
Вариант 24 ИДЗ 3.1 Решебник Рябушко часть 1
Купить
$ 0.69

21.02.2025
0 продаж
Вариант 23 ИДЗ 8.2 Решебник Рябушко часть 2
Купить
$ 1.27

31.07.2020
0 продаж
Вариант 16 ИДЗ 2.2 Решебник Рябушко часть 1
Купить
$ 0.53

24.02.2015
0 продаж
Семинары Математика и информатика
Купить
$ 1.11

13.01.2019
0 продаж
Решение Д6 В41, решебник по термеху Тарг С.М. 1982 г.
Купить
$ 0.89

30.03.2016
0 продаж
Задание К1 вариант 44, решебник Тарг С.М. 1983 года
Купить
$ 0.51
30.03.2016
0 продаж
Задание К1 вариант 90, решебник Тарг С.М. 1983 года
Купить
$ 0.64
13.04.2016
0 продаж
Задача Д3 Вариант 40, решебник термех Тарг С.М. 1983 г
Купить
$ 0.67
13.04.2016
0 продаж
Решение Д9 Вар. 61, решебник термех Тарг С.М. 1983 г.
Купить
$ 0.64
13.04.2016
0 продаж
Решение Д9 Вар. 75, решебник термех Тарг С.М. 1983 г.
Купить
$ 0.65

23.05.2016
0 продаж
Задача С4 вариант 88, решебник термех Тарг С.М. 1982 г
Купить
$ 0.63
06.06.2016
0 продаж
Решение задачи Д1 В 63 решебник термех Тарг С.М. 1982
Купить
$ 0.79

10.02.2017
0 продаж
Решение задачи Д4 В 62, решебник Тарг С.М. 1982 года
Купить
$ 0.63
30.07.2013
0 продаж
ГУУ Контр.работа.Контр.задание,Микроэкономика Вар.№ 2
Купить
$ 8.03

05.08.2017
0 продаж
Решебник Арутюнова Ю.С. Задание N23 Высшая математика
Купить
$ 0.25

25.08.2017
0 продаж
Решебник Арутюнова Ю.С. Задание N226 Высшая математика
Купить
$ 0.33

14.06.2017
0 продаж
Решебник Арутюнова Ю.С. Задание N356 Высшая математика
Купить
$ 0.33

12.07.2017
0 продаж
Решебник Арутюнова Ю.С. Задание N416 Высшая математика
Купить
$ 0.25
17.04.2018
0 продаж
РГР: В.Н.КУНИН А.Ф.ГАЛКИН 2007Г. ЗАДАНИЕ 3.17
Купить
$ 0.24

23.05.2020
0 продаж
Решение задачи № 102 из Сборника под ред. Арутюнова Ю.С
Купить
$ 0.44