USSR SHOP »
Магазин » Решебник Арутюнова Ю.С. Задание N137 Высшая математика
Купить Решебник Арутюнова Ю.С. Задание N137 Высшая математика
Обновлено: 2025-10-23 19:58:25

$ 0.25
0 продаж
Всего продаж: 0
✅ Методы оплаты: 





Описание товара:
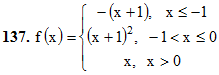
Готовое решение задачи. Решебник Арутюнова. Задание №137.
131 – 140. Задана функция y=f(x). Найти точки разрыва функции, если они существуют. Сделать чертеж.
Если у вас похожее задание, прорешаю на заказ, пишите мне http://fizmathim.plati.ru
Подробное решение. Оформлено в Microsoft Word 2003 (Задание решено с использованием редактора формул)
131 – 140. Задана функция y=f(x). Найти точки разрыва функции, если они существуют. Сделать чертеж.
Если у вас похожее задание, прорешаю на заказ, пишите мне http://fizmathim.plati.ru
Подробное решение. Оформлено в Microsoft Word 2003 (Задание решено с использованием редактора формул)
Изображения:
Вас могут заинтересовать:
14.03.2016
17 продаж
Решение задачи Д3 (задание 2) Вариант 04 Диевский В.А.
Купить
$ 0.79
14.01.2019
11 продаж
Расчетно-графическая работа 3. Задание 2. Вариант 26
Купить
$ 1.45

07.07.2022
1 продажа
Задание 1. БУ и отчетность.
Купить
$ 3.42

12.01.2017
3 продажи
Решебник Кузнецова Л.А. Линейная алгебра - Вариант 17
Купить
$ 1.54

07.07.2022
0 продаж
Задание 5. БУ и отчетность.
Купить
$ 3.42

29.01.2017
0 продаж
Кейс задание. 3 ситуации. 2 вариант.
Купить
$ 6.74

08.12.2016
0 продаж
Делопроизводство. Практическое задание №2.
Купить
$ 2.44

29.09.2018
0 продаж
Экономика задание
Купить
$ 0.98
31.05.2016
1 продажа
Решение К3 вар. 77, решебник термех Тарг С.М. 1982 г.
Купить
$ 0.79
19.02.2025
1 продажа
Решебник Рябушко. Решенный ИДЗ 4.1, Вариант 15
Купить
$ 1.26
20.02.2025
1 продажа
Вариант 2 ИДЗ 13.1 Решебник Рябушко часть 3
Купить
$ 1.37
20.02.2025
1 продажа
Вариант 7 ИДЗ 13.1 Решебник Рябушко часть 3
Купить
$ 1.37
20.02.2025
1 продажа
Вариант 9 ИДЗ 6.3 Решебник Рябушко часть 1
Купить
$ 1.57
20.02.2025
1 продажа
Вариант 1 ИДЗ 14.2 Решебник Рябушко часть 3
Купить
$ 0.74
20.02.2025
1 продажа
Вариант 2 ИДЗ 8.3 Решебник Рябушко часть 2
Купить
$ 1.27
20.02.2025
1 продажа
Вариант 3 ИДЗ 6.4 Решебник Рябушко часть 1
Купить
$ 1.08
21.02.2025
1 продажа
Вариант 16 ИДЗ 3.1 Решебник Рябушко часть 1
Купить
$ 0.69
21.02.2025
1 продажа
Вариант 17 ИДЗ 14.1 Решебник Рябушко часть 3
Купить
$ 1.08
21.02.2025
1 продажа
Вариант 20 ИДЗ 8.2 Решебник Рябушко часть 2
Купить
$ 1.27
21.02.2025
1 продажа
Вариант 24 ИДЗ 9.2 Решебник Рябушко часть 2
Купить
$ 0.98
13.04.2021
1 продажа
Диевский В.А. - Решение задачи Д4 вариант 3 задание 1
Купить
$ 0.73
13.04.2021
1 продажа
Решение задачи Д3 вариант 4 задание 1 - Диевский В.А.
Купить
$ 0.74
20.02.2012
0 продаж
Дискретна математика - Теорія множин НУ"ЛП" В-19
Купить
$ 0.52
13.01.2019
0 продаж
Решение Д6 В27, решебник по термеху Тарг С.М. 1982 г.
Купить
$ 1.92

10.02.2017
0 продаж
Решение задачи Д8 В88, решебник Тарг С.М. 1983 года
Купить
$ 1.99

10.02.2017
0 продаж
Решение задачи Д8 В92, решебник Тарг С.М. 1983 года
Купить
$ 1.99

02.08.2020
0 продаж
Вариант 25 ИДЗ 13.2 Решебник Рябушко часть 3
Купить
$ 0.9

01.08.2020
0 продаж
Вариант 21 ИДЗ 5.2 Решебник Рябушко часть 1
Купить
$ 0.83

19.03.2016
0 продаж
Задача С3 вариант 07, решебник Тарг С.М. 1982 г.
Купить
$ 0.94
24.03.2016
0 продаж
Решение К1 вариант 99, решебник Тарг С.М. 1982 года
Купить
$ 0.76

13.04.2016
0 продаж
Задача Д3 Вариант 35, решебник термех Тарг С.М. 1983 г
Купить
$ 0.53

23.05.2016
0 продаж
Задача С4 вариант 68, решебник термех Тарг С.М. 1982 г
Купить
$ 0.63
31.05.2016
0 продаж
Решение К3 вар. 23, решебник термех Тарг С.М. 1982 г.
Купить
$ 0.79

31.05.2016
0 продаж
Решение задачи К4 В 67, решебник термех Тарг С.М. 1982
Купить
$ 0.63
06.06.2016
0 продаж
Решение задачи Д1 В 85 решебник термех Тарг С.М. 1982
Купить
$ 0.79
06.06.2016
0 продаж
Решение задачи Д1 В 87 решебник термех Тарг С.М. 1982
Купить
$ 0.79

10.02.2017
0 продаж
Решение задачи Д4 В 08, решебник Тарг С.М. 1982 года
Купить
$ 0.63

10.02.2017
0 продаж
Решение задачи Д4 В 63, решебник Тарг С.М. 1982 года
Купить
$ 0.63

20.02.2025
0 продаж
Вариант 5 ИДЗ 16.1 Решебник Рябушко часть 4
Купить
$ 1.18

09.11.2010
55 продаж
Контрольная работа в МЭИ Математика часть 1
Купить
$ 0.98

09.08.2017
1 продажа
Решебник Арутюнова Ю.С. Задание N71 Высшая математика
Купить
$ 0.33

10.12.2016
2 продажи
Решебник Арутюнова Ю.С. Задание N554 Высшая математика
Купить
$ 0.21

21.05.2022
0 продаж
Математика. Задача М1.
Купить
$ 0.49

09.08.2017
0 продаж
Решебник Арутюнова Ю.С. Задание N68 Высшая математика
Купить
$ 0.25

09.08.2017
0 продаж
Решебник Арутюнова Ю.С. Задание N69 Высшая математика
Купить
$ 0.25

16.08.2017
0 продаж
Решебник Арутюнова Ю.С. Задание N130 Высшая математика
Купить
$ 0.25

20.08.2017
0 продаж
Решебник Арутюнова Ю.С. Задание N174 Высшая математика
Купить
$ 0.32

21.08.2017
0 продаж
Решебник Арутюнова Ю.С. Задание N189 Высшая математика
Купить
$ 0.32

14.06.2017
0 продаж
Решебник Арутюнова Ю.С. Задание N355 Высшая математика
Купить
$ 0.33

21.06.2017
0 продаж
Решебник Арутюнова Ю.С. Задание N387 Высшая математика
Купить
$ 0.25