USSR SHOP »
Магазин » Решебник Арутюнова Ю.С. Задание N360 Высшая математика
Купить Решебник Арутюнова Ю.С. Задание N360 Высшая математика
Обновлено: 2025-10-23 23:51:38

$ 0.33
0 продаж
Всего продаж: 0
✅ Методы оплаты: 





Описание товара:
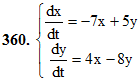
Готовое решение задачи. Решебник Арутюнова. Задание №360.
351 – 360. Дана система линейных дифференциальных уравнений с постоянными коэффициентами
Требуется: 1) найти общее решение системы с помощью характеристического уравнения; 2) записать в матричной форме данную систему и ее решение.
Если у вас похожее задание, прорешаю на заказ, пишите мне http://fizmathim.plati.ru
Подробное решение. Оформлено в Microsoft Word 2003 (Задание решено с использованием редактора формул)
351 – 360. Дана система линейных дифференциальных уравнений с постоянными коэффициентами
Требуется: 1) найти общее решение системы с помощью характеристического уравнения; 2) записать в матричной форме данную систему и ее решение.
Если у вас похожее задание, прорешаю на заказ, пишите мне http://fizmathim.plati.ru
Подробное решение. Оформлено в Microsoft Word 2003 (Задание решено с использованием редактора формул)
Изображения:
Вас могут заинтересовать:

13.01.2025
46 продаж
Значок "Задание Выполнено" с ЗАХОДОМ
Купить
$ 1.76

21.04.2010
0 продаж
Прикладная информатика - ККР - Задание №51
Купить
$ 4.88
03.05.2016
11 продаж
Решение задачи Д7 (задание 2) Вариант 13 Диевский В.А.
Купить
$ 1.12
08.01.2016
12 продаж
Решение задачи Д4 (задание 2) Вариант 15 Диевский В.А.
Купить
$ 0.79

14.03.2016
9 продаж
Решение задачи Д3 (задание 2) Вариант 15 Диевский В.А.
Купить
$ 0.63
11.01.2016
6 продаж
Решение задачи Д7 (задание 2) Вариант 06 Диевский В.А.
Купить
$ 0.79

08.07.2016
2 продажи
Кейс задание 2. Управление человеческими ресурсами.
Купить
$ 3.42

22.12.2017
4 продажи
Диевский В.А. - Решение задачи Д7 вариант 4 задание 1
Купить
$ 0.59
05.09.2018
4 продажи
Диевский В.А. - Решение задачи Д4 вариант 24 задание 2
Купить
$ 0.73

09.07.2019
0 продаж
Задание 2. Менеджмент.
Купить
$ 3.91

04.08.2020
0 продаж
Информационные системы. Практическое задание №1
Купить
$ 3.42

08.07.2019
0 продаж
Вариант №4.Кейс задание 2. ПР-продукт.
Купить
$ 3.71

29.07.2016
0 продаж
ЗАДАНИЕ №2. Психология принятия управленческих решений
Купить
$ 2.93

31.05.2016
2 продажи
Решение задачи К4 В 95, решебник термех Тарг С.М. 1982
Купить
$ 0.63

09.07.2019
0 продаж
Задание 6. Управление проектами.
Купить
$ 1.85
20.02.2025
1 продажа
Вариант 6 ИДЗ 12.3 Решебник Рябушко часть 3
Купить
$ 1.57
21.02.2025
1 продажа
Вариант 17 ИДЗ 18.1 Решебник Рябушко часть 4
Купить
$ 1.47
21.02.2025
1 продажа
Вариант 19 ИДЗ 13.1 Решебник Рябушко часть 3
Купить
$ 1.37
21.02.2025
1 продажа
Вариант 24 ИДЗ 6.3 Решебник Рябушко часть 1
Купить
$ 1.57
21.02.2025
1 продажа
Вариант 26 ИДЗ 8.4 Решебник Рябушко часть 2
Купить
$ 1.57
21.02.2025
1 продажа
Вариант 29 ИДЗ 6.3 Решебник Рябушко часть 1
Купить
$ 1.57
20.02.2025
1 продажа
Вариант 3 ИДЗ 8.3 Решебник Рябушко часть 2
Купить
$ 1.27
20.02.2025
1 продажа
Вариант 5 ИДЗ 11.2 Решебник Рябушко часть 2
Купить
$ 1.18
20.02.2025
1 продажа
Вариант 7 ИДЗ 11.4 Решебник Рябушко часть 2
Купить
$ 1.18
20.02.2025
1 продажа
Вариант 10 ИДЗ 14.1 Решебник Рябушко часть 3
Купить
$ 1.08
21.02.2025
1 продажа
Вариант 14 ИДЗ 14.1 Решебник Рябушко часть 3
Купить
$ 1.08
13.04.2021
1 продажа
Решение задачи Д3 вариант 17 задание 2 - Диевский В.А.
Купить
$ 0.73
18.05.2018
0 продаж
Диевский В.А. - Решение задачи Д7 вариант 28 задание 2
Купить
$ 0.74

09.01.2021
0 продаж
Математика контрольная,ч10,вариант 8,2021 год,9заданий
Купить
$ 5.39

16.01.2017
0 продаж
Решебник Кузнецова Л.А. Пределы - Вариант 16
Купить
$ 1.64

30.10.2020
0 продаж
Вариант 18 ИДЗ 9.1 Решебник Рябушко часть 2
Купить
$ 0.98

10.10.2020
0 продаж
Вариант 21 ИДЗ 8.2 Решебник Рябушко часть 2
Купить
$ 0.98

02.08.2020
0 продаж
Вариант 22 ИДЗ 15.2 Решебник Рябушко часть 3
Купить
$ 0.9
13.04.2016
0 продаж
Решение Д9 Вар. 11, решебник термех Тарг С.М. 1983 г.
Купить
$ 0.65
13.04.2016
0 продаж
Решение Д9 Вар. 38, решебник термех Тарг С.М. 1983 г.
Купить
$ 0.65
27.04.2016
0 продаж
Решение Д7 В73, решебник по термеху Тарг С.М. 1982 г.
Купить
$ 0.79
27.04.2016
0 продаж
Решение Д7 В80, решебник по термеху Тарг С.М. 1982 г.
Купить
$ 0.79
23.05.2016
0 продаж
Решение С5 вар. 68, решебник теормех Тарг С.М. 1982 г.
Купить
$ 0.79
23.05.2016
0 продаж
Решение С5 вар. 69, решебник теормех Тарг С.М. 1982 г.
Купить
$ 0.79
31.05.2016
0 продаж
Решение задачи К4 В 16, решебник термех Тарг С.М. 1982
Купить
$ 0.79

31.05.2016
0 продаж
Решение задачи К4 В 88, решебник термех Тарг С.М. 1982
Купить
$ 0.79

04.07.2013
5 продаж
Математика тест с ответами 5 часть,105 вопросов
Купить
$ 0.54

20.06.2021
0 продаж
ДВФУ WEBDidactor Финансовая математика - 2 вопроса #1075
Купить
$ 0.32

06.08.2017
0 продаж
Решебник Арутюнова Ю.С. Задание N33 Высшая математика
Купить
$ 0.32

07.08.2017
0 продаж
Решебник Арутюнова Ю.С. Задание N48 Высшая математика
Купить
$ 0.32
09.08.2017
1 продажа
Решебник Арутюнова Ю.С. Задание N80 Высшая математика
Купить
$ 0.42

17.05.2017
0 продаж
Решебник Арутюнова Ю.С. Задание N306 Высшая математика
Купить
$ 0.16

17.05.2017
0 продаж
Решебник Арутюнова Ю.С. Задание N309 Высшая математика
Купить
$ 0.16

18.06.2017
0 продаж
Решебник Арутюнова Ю.С. Задание N373 Высшая математика
Купить
$ 0.32

30.07.2017
0 продаж
Решебник Арутюнова Ю.С. Задание N454 Высшая математика
Купить
$ 0.25