USSR SHOP »
Магазин » Решебник Арутюнова Ю.С. Задание N239 Высшая математика
Купить Решебник Арутюнова Ю.С. Задание N239 Высшая математика
Обновлено: 2025-10-24 02:32:58
$ 0.32
0 продаж
Всего продаж: 0
✅ Методы оплаты: 





Описание товара:
Готовое решение задачи. Решебник Арутюнова. Задание №239.
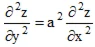
239. Дана функция z = sin(x + ay). Показать, что
Если у вас похожее задание, прорешаю на заказ, пишите мне http://fizmathim.plati.ru
Подробное решение. Оформлено в Microsoft Word 2003 (Задание решено с использованием редактора формул)
239. Дана функция z = sin(x + ay). Показать, что
Если у вас похожее задание, прорешаю на заказ, пишите мне http://fizmathim.plati.ru
Подробное решение. Оформлено в Microsoft Word 2003 (Задание решено с использованием редактора формул)
Изображения:
Вас могут заинтересовать:
22.12.2017
6 продаж
Диевский В.А. - Решение задачи Д7 вариант 13 задание 1
Купить
$ 0.73
27.05.2016
4 продажи
Решение задачи Д7 (задание 2) Вариант 23 Диевский В.А.
Купить
$ 1.11

27.10.2018
1 продажа
БухУчет. Задание 2.
Купить
$ 2.44

09.07.2019
1 продажа
Налоги. ТК-2. Задание.
Купить
$ 1.84

05.08.2020
0 продаж
Задание 5.2. Экономика.
Купить
$ 2.93

18.07.2016
0 продаж
Экономическая информатика Задание 1 РОСНОУ
Купить
$ 5.37
22.12.2017
3 продажи
Диевский В.А. - Решение задачи Д7 вариант 6 задание 2
Купить
$ 0.73

31.03.2017
0 продаж
Задание БУ
Купить
$ 1.95

14.06.2013
0 продаж
Самостоятельная работа РФЭИ Математика №2 20 задании
Купить
$ 2.2
10.02.2017
3 продажи
Решение К2 вар. 59, решебник теормех Тарг С.М. 1982 г.
Купить
$ 0.79
22.12.2017
1 продажа
Диевский В.А. - Решение задачи Д7 вариант 21 задание 2
Купить
$ 0.74

16.01.2017
1 продажа
Вариант 16 ИДЗ 19.2 Решебник Рябушко часть 4
Купить
$ 0.94
13.04.2016
1 продажа
Решение Д9 Вар. 88, решебник термех Тарг С.М. 1983 г.
Купить
$ 0.65

20.06.2020
1 продажа
Решебник Рябушко. Решенный ИДЗ 3.1, Вариант 9
Купить
$ 0.57

19.02.2025
1 продажа
Решебник Рябушко. Решенный ИДЗ 13.3, Вариант 19
Купить
$ 1.16

13.01.2017
1 продажа
Вариант 3 ИДЗ 18.1 Решебник Рябушко часть 4
Купить
$ 1.13
20.02.2025
1 продажа
Вариант 9 ИДЗ 6.3 Решебник Рябушко часть 1
Купить
$ 1.57
21.02.2025
1 продажа
Вариант 13 ИДЗ 13.1 Решебник Рябушко часть 3
Купить
$ 1.37

25.07.2020
1 продажа
Вариант 7 ИДЗ 10.2 Решебник Рябушко часть 2
Купить
$ 0.9

12.01.2017
1 продажа
Вариант 2 ИДЗ 9.2 Решебник Рябушко часть 2
Купить
$ 0.75
20.02.2025
1 продажа
Вариант 5 ИДЗ 11.2 Решебник Рябушко часть 2
Купить
$ 1.18
20.02.2025
1 продажа
Вариант 5 ИДЗ 13.2 Решебник Рябушко часть 3
Купить
$ 1.18
20.02.2025
1 продажа
Вариант 8 ИДЗ 13.3 Решебник Рябушко часть 3
Купить
$ 1.18

29.12.2017
1 продажа
Вариант 12 ИДЗ 13.2 Решебник Рябушко часть 3
Купить
$ 0.9
21.02.2025
1 продажа
Вариант 16 ИДЗ 8.2 Решебник Рябушко часть 2
Купить
$ 1.27
21.02.2025
1 продажа
Вариант 16 ИДЗ 11.4 Решебник Рябушко часть 2
Купить
$ 1.18
06.11.2018
1 продажа
Контрольно-курсовое задание Организационное поведение
Купить
$ 12.23
13.04.2021
1 продажа
Диевский В.А. - Решение задачи Д4 вариант 23 задание 1
Купить
$ 0.73
16.05.2025
1 продажа
Решение задачи Д3 вариант 15 задание 1 - Диевский В.А.
Купить
$ 0.74

18.06.2020
0 продаж
РЕШЕБНИК РЯБУШКО А. П. ЧАСТЬ 2 Вариант 1. ВСЕ ЗАДАНИЯ
Купить
$ 3.42

01.08.2020
0 продаж
Вариант 20 ИДЗ 5.1 Решебник Рябушко часть 1
Купить
$ 0.9
19.03.2016
0 продаж
Задача С3 вариант 02, решебник Тарг С.М. 1982 г.
Купить
$ 1.18
13.04.2016
0 продаж
Решение Д9 Вар. 86, решебник термех Тарг С.М. 1983 г.
Купить
$ 0.65
27.04.2016
0 продаж
Решение Д7 В55, решебник по термеху Тарг С.М. 1982 г.
Купить
$ 0.79
28.04.2016
0 продаж
Решение Д7 В97, решебник по термеху Тарг С.М. 1982 г.
Купить
$ 0.79

23.05.2016
0 продаж
Задача С4 вариант 24, решебник термех Тарг С.М. 1982 г
Купить
$ 0.63

23.05.2016
0 продаж
Задача С4 вариант 67, решебник термех Тарг С.М. 1982 г
Купить
$ 0.63

23.05.2016
0 продаж
Задача С4 вариант 93, решебник термех Тарг С.М. 1982 г
Купить
$ 0.63

31.05.2016
0 продаж
Решение задачи К4 В 20, решебник термех Тарг С.М. 1982
Купить
$ 0.63

31.05.2016
0 продаж
Решение задачи К4 В 93, решебник термех Тарг С.М. 1982
Купить
$ 0.63
06.06.2016
0 продаж
Решение задачи Д1 В 29, решебник термех Тарг С.М. 1982
Купить
$ 0.79

21.12.2022
1 продажа
АЗ4.3-задание 1 пункт 1
Купить
$ 0.04

28.06.2012
29 продаж
Математика ч.3. Тест ИМЭИ
Купить
$ 0.86
17.05.2017
1 продажа
Решебник Арутюнова Ю.С. Задание N301 Высшая математика
Купить
$ 0.21
12.07.2017
2 продажи
Решебник Арутюнова Ю.С. Задание N429 Высшая математика
Купить
$ 0.21

12.08.2017
0 продаж
Решебник Арутюнова Ю.С. Задание N96 Высшая математика
Купить
$ 0.33

16.08.2017
1 продажа
Решебник Арутюнова Ю.С. Задание N132 Высшая математика
Купить
$ 0.25

24.08.2017
0 продаж
Решебник Арутюнова Ю.С. Задание N217 Высшая математика
Купить
$ 0.42

15.05.2017
1 продажа
Решебник Арутюнова Ю.С. Задание N526 Высшая математика
Купить
$ 0.25