USSR SHOP »
Магазин » Решебник Арутюнова Ю.С. Задание N561 Высшая математика
Купить Решебник Арутюнова Ю.С. Задание N561 Высшая математика
Обновлено: 2025-10-24 01:18:18

$ 0.16
0 продаж
Всего продаж: 0
✅ Методы оплаты: 





Описание товара:
Готовое решение задачи. Решебник Арутюнова. Задание №561.
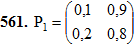
561-570. Задана матрица P1 вероятностей перехода цепи Маркова из состояния i (i = 1, 2) в состояние j (j = 1, 2) за один шаг. Найти матрицу P2 перехода из состояния i в состояние j за два шага.
Если у вас похожее задание, прорешаю на заказ, пишите мне http://fizmathim.plati.ru
Подробное решение. Оформлено в Microsoft Word 2003 (Задание решено с использованием редактора формул)
561-570. Задана матрица P1 вероятностей перехода цепи Маркова из состояния i (i = 1, 2) в состояние j (j = 1, 2) за один шаг. Найти матрицу P2 перехода из состояния i в состояние j за два шага.
Если у вас похожее задание, прорешаю на заказ, пишите мне http://fizmathim.plati.ru
Подробное решение. Оформлено в Microsoft Word 2003 (Задание решено с использованием редактора формул)
Изображения:
Вас могут заинтересовать:
08.01.2016
7 продаж
Решение задачи Д4 (задание 2) Вариант 07 Диевский В.А.
Купить
$ 0.79
27.05.2016
5 продаж
Решение задачи Д7 (задание 2) Вариант 19 Диевский В.А.
Купить
$ 1.11

02.12.2017
1 продажа
Практическое задание. Планирование.
Купить
$ 2.93

10.07.2019
1 продажа
Налоги. ТК-6. Задание.
Купить
$ 1.95

16.08.2019
0 продаж
Педагогика. Лекция. Задание 2.
Купить
$ 3.91
27.05.2024
0 продаж
Специальная математика и основы статистики - Ответы
Купить
$ 2.21

20.10.2017
0 продаж
Практическое задание по БУ. Готовая работа.
Купить
$ 3.42

22.07.2021
0 продаж
Документооборот. Практическое задание №4.
Купить
$ 4.88

17.07.2019
0 продаж
Общие условия государственной службы. Задание 5.
Купить
$ 2.93

14.01.2010
0 продаж
Контрольная РФЭИ Математика №3
Купить
$ 2.2

29.07.2016
0 продаж
ЗАДАНИЕ № 3. Стратегическое управление образовательным
Купить
$ 2.44

28.06.2016
0 продаж
Практическое задание. Основы маркетинга
Купить
$ 1.46

03.06.2020
0 продаж
Задание на курсовой проект ПМ01 09.02.02 (41с) 2019г
Купить
$ 2.45
06.06.2016
1 продажа
Решение задачи Д1 В 24, решебник термех Тарг С.М. 1982
Купить
$ 0.79
10.02.2017
1 продажа
Решение К2 вар. 99, решебник теормех Тарг С.М. 1982 г.
Купить
$ 0.79

13.04.2016
1 продажа
Задача Д3 Вариант 66, решебник термех Тарг С.М. 1983 г
Купить
$ 0.53

31.05.2016
1 продажа
Решение К3 вар. 40, решебник термех Тарг С.М. 1982 г.
Купить
$ 0.63
19.02.2025
1 продажа
Решебник Рябушко. Решенный ИДЗ 3.1, Вариант 16
Купить
$ 0.74
21.02.2025
1 продажа
Вариант 20 ИДЗ 12.2 Решебник Рябушко часть 3
Купить
$ 1.57
21.02.2025
1 продажа
Вариант 26 ИДЗ 6.3 Решебник Рябушко часть 1
Купить
$ 1.57
21.02.2025
1 продажа
Вариант 29 ИДЗ 6.3 Решебник Рябушко часть 1
Купить
$ 1.57
20.02.2025
1 продажа
Вариант 5 ИДЗ 9.2 Решебник Рябушко часть 2
Купить
$ 0.98
20.02.2025
1 продажа
Вариант 9 ИДЗ 8.2 Решебник Рябушко часть 2
Купить
$ 1.27
21.02.2025
1 продажа
Вариант 12 ИДЗ 14.2 Решебник Рябушко часть 3
Купить
$ 0.74
21.02.2025
1 продажа
Вариант 17 ИДЗ 11.4 Решебник Рябушко часть 2
Купить
$ 1.18

25.08.2020
0 продаж
Вариант 25 ИДЗ 11.1 Решебник Рябушко часть 2
Купить
$ 0.9

01.08.2020
0 продаж
Вариант 18 ИДЗ 5.1 Решебник Рябушко часть 1
Купить
$ 0.9

10.10.2020
0 продаж
Вариант 23 ИДЗ 8.3 Решебник Рябушко часть 2
Купить
$ 0.98

24.03.2016
0 продаж
Решение К1 вариант 06, решебник Тарг С.М. 1982 года
Купить
$ 0.61
24.03.2016
0 продаж
Решение К1 вариант 38, решебник Тарг С.М. 1982 года
Купить
$ 0.77
24.03.2016
0 продаж
Решение К1 вариант 59, решебник Тарг С.М. 1982 года
Купить
$ 0.77

30.03.2016
0 продаж
Задание К1 вариант 54, решебник Тарг С.М. 1983 года
Купить
$ 0.51

30.03.2016
0 продаж
Задание К1 вариант 80, решебник Тарг С.М. 1983 года
Купить
$ 0.51

12.04.2016
0 продаж
Решение задачи Д1 Вариант 03, решебник Тарг С.М. 1983
Купить
$ 0.5
13.04.2016
0 продаж
Задача Д3 Вариант 40, решебник термех Тарг С.М. 1983 г
Купить
$ 0.67

13.04.2016
0 продаж
Задача Д3 Вариант 59, решебник термех Тарг С.М. 1983 г
Купить
$ 0.53
13.04.2016
0 продаж
Решение Д9 Вар. 79, решебник термех Тарг С.М. 1983 г.
Купить
$ 0.65
31.05.2016
0 продаж
Решение К3 вар. 06, решебник термех Тарг С.М. 1982 г.
Купить
$ 0.79
06.06.2016
0 продаж
Решение задачи Д1 В 87 решебник термех Тарг С.М. 1982
Купить
$ 0.79

10.02.2017
0 продаж
Решение задачи Д4 В 20, решебник Тарг С.М. 1982 года
Купить
$ 0.63

20.02.2025
0 продаж
Вариант 3 ИДЗ 16.1 Решебник Рябушко часть 4
Купить
$ 1.18

16.08.2017
0 продаж
Практическое задание 1 по английскому языку
Купить
$ 1

05.06.2008
48 продаж
Математика ЧАСТЬ 1 тесты в МЭИ
Купить
$ 1

18.06.2017
2 продажи
Решебник Арутюнова Ю.С. Задание N371 Высшая математика
Купить
$ 0.32
12.07.2017
2 продажи
Решебник Арутюнова Ю.С. Задание N429 Высшая математика
Купить
$ 0.21

28.07.2017
1 продажа
Решебник Арутюнова Ю.С. Задание N443 Высшая математика
Купить
$ 0.25

11.08.2017
0 продаж
Решебник Арутюнова Ю.С. Задание N84 Высшая математика
Купить
$ 0.25

16.08.2017
0 продаж
Решебник Арутюнова Ю.С. Задание N125 Высшая математика
Купить
$ 0.25

23.08.2017
0 продаж
Решебник Арутюнова Ю.С. Задание N198 Высшая математика
Купить
$ 0.33

12.07.2017
0 продаж
Решебник Арутюнова Ю.С. Задание N414 Высшая математика
Купить
$ 0.25