USSR SHOP »
Магазин » Решебник Арутюнова Ю.С. Задание N566 Высшая математика
Купить Решебник Арутюнова Ю.С. Задание N566 Высшая математика
Обновлено: 2025-10-23 16:43:03
$ 0.21
1 продажа
Всего продаж: 1
✅ Методы оплаты: 





Описание товара:
Готовое решение задачи. Решебник Арутюнова. Задание №566.
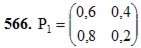
561-570. Задана матрица P1 вероятностей перехода цепи Маркова из состояния i (i = 1, 2) в состояние j (j = 1, 2) за один шаг. Найти матрицу P2 перехода из состояния i в состояние j за два шага.
Если у вас похожее задание, прорешаю на заказ, пишите мне http://fizmathim.plati.ru
Подробное решение. Оформлено в Microsoft Word 2003 (Задание решено с использованием редактора формул)
561-570. Задана матрица P1 вероятностей перехода цепи Маркова из состояния i (i = 1, 2) в состояние j (j = 1, 2) за один шаг. Найти матрицу P2 перехода из состояния i в состояние j за два шага.
Если у вас похожее задание, прорешаю на заказ, пишите мне http://fizmathim.plati.ru
Подробное решение. Оформлено в Microsoft Word 2003 (Задание решено с использованием редактора формул)
Изображения:
Вас могут заинтересовать:
09.08.2018
77 продаж
Макеты для оформления "Веселая математика"
Купить
$ 5.33
14.03.2016
24 продажи
Решение задачи Д3 (задание 1) Вариант 09 Диевский В.А.
Купить
$ 0.79

26.03.2008
20 продаж
Контрольная РФЭИ Математика №3
Купить
$ 1.37
14.03.2016
19 продаж
Решение задачи Д3 (задание 2) Вариант 17 Диевский В.А.
Купить
$ 0.79

14.01.2019
17 продаж
Расчетно-графическая работа 3. Задание 2. Вариант 4
Купить
$ 1.15

31.08.2016
0 продаж
Привод к цепному конвейеру, задание 9, вариант 7
Купить
$ 12
22.12.2017
5 продаж
Диевский В.А. - Решение задачи Д7 вариант 11 задание 1
Купить
$ 0.74

14.01.2019
4 продажи
Расчетно-графическая работа 3. Задание 2. Вариант 23
Купить
$ 1.15

05.09.2018
3 продажи
Диевский В.А. - Решение задачи Д4 вариант 2 задание 2
Купить
$ 0.59
19.02.2025
3 продажи
Решебник Рябушко. Решенный ИДЗ 18.2, Вариант 18
Купить
$ 1.47

06.07.2017
0 продаж
Предпринимательское право. Задание и задачи.
Купить
$ 4.3

24.03.2016
1 продажа
Решение К1 вариант 30, решебник Тарг С.М. 1982 года
Купить
$ 0.61
09.02.2017
1 продажа
Решение задачи Д8 В81, решебник Тарг С.М. 1983 года
Купить
$ 1.3

15.01.2017
1 продажа
Решебник Кузнецова Л.А. Дифф. уравнения - Вариант 21
Купить
$ 1.49

19.02.2025
1 продажа
Решебник Рябушко. Решенный ИДЗ 18.1, Вариант 25
Купить
$ 1.47
20.02.2025
1 продажа
Вариант 10 ИДЗ 6.2 Решебник Рябушко часть 1
Купить
$ 1.37
20.02.2025
1 продажа
Вариант 10 ИДЗ 8.4 Решебник Рябушко часть 2
Купить
$ 1.57
21.02.2025
1 продажа
Вариант 25 ИДЗ 12.2 Решебник Рябушко часть 3
Купить
$ 1.57
20.02.2025
1 продажа
Вариант 3 ИДЗ 5.2 Решебник Рябушко часть 1
Купить
$ 1.08
20.02.2025
1 продажа
Вариант 8 ИДЗ 4.1 Решебник Рябушко часть 1
Купить
$ 1.18
21.02.2025
1 продажа
Вариант 11 ИДЗ 3.1 Решебник Рябушко часть 1
Купить
$ 0.69
21.02.2025
1 продажа
Вариант 15 ИДЗ 8.2 Решебник Рябушко часть 2
Купить
$ 1.27
21.02.2025
1 продажа
Вариант 16 ИДЗ 11.2 Решебник Рябушко часть 2
Купить
$ 1.18
21.02.2025
1 продажа
Вариант 25 ИДЗ 15.2 Решебник Рябушко часть 3
Купить
$ 1.18
21.02.2025
1 продажа
Вариант 29 ИДЗ 8.3 Решебник Рябушко часть 2
Купить
$ 1.27
13.04.2021
1 продажа
Диевский В.А. - Решение задачи Д4 вариант 30 задание 1
Купить
$ 0.74
13.04.2021
1 продажа
Решение задачи Д3 вариант 27 задание 2 - Диевский В.А.
Купить
$ 0.74
13.04.2021
1 продажа
Решение задачи Д3 вариант 25 задание 1 - Диевский В.А.
Купить
$ 0.74
20.02.2012
0 продаж
Дискретна математика - Теорія множин НУ"ЛП" В-5
Купить
$ 0.53

24.01.2019
0 продаж
МЭИ Теория организации. Тест 21 задание по 5 вопросов
Купить
$ 0.78

21.02.2025
0 продаж
Вариант 19 ИДЗ 5.1 Решебник Рябушко часть 1
Купить
$ 1.18

20.03.2016
0 продаж
Задача С3 вариант 88, решебник Тарг С.М. 1982 г.
Купить
$ 0.94
24.03.2016
0 продаж
Решение К1 вариант 05, решебник Тарг С.М. 1982 года
Купить
$ 0.77

24.03.2016
0 продаж
Решение К1 вариант 06, решебник Тарг С.М. 1982 года
Купить
$ 0.61
24.03.2016
0 продаж
Решение К1 вариант 15, решебник Тарг С.М. 1982 года
Купить
$ 0.77
13.01.2019
0 продаж
Решение К1 вариант 85, решебник Тарг С.М. 1982 года
Купить
$ 0.77

12.04.2016
0 продаж
Решение задачи Д1 Вариант 91, решебник Тарг С.М. 1983
Купить
$ 0.5

23.05.2016
0 продаж
Задача С4 вариант 27, решебник термех Тарг С.М. 1982 г
Купить
$ 0.63

23.05.2016
0 продаж
Задача С4 вариант 29, решебник термех Тарг С.М. 1982 г
Купить
$ 0.63
10.02.2017
0 продаж
Решение К2 вар. 97, решебник теормех Тарг С.М. 1982 г.
Купить
$ 0.79

31.05.2016
0 продаж
Решение задачи К4 В 74, решебник термех Тарг С.М. 1982
Купить
$ 0.63

31.05.2016
0 продаж
Решение задачи К4 В 93, решебник термех Тарг С.М. 1982
Купить
$ 0.63
06.06.2016
0 продаж
Решение задачи Д1 В 36 решебник термех Тарг С.М. 1982
Купить
$ 0.79

16.08.2017
0 продаж
Практическое задание 1 Теория организации и организацио
Купить
$ 1

25.01.2014
5 продаж
Задание 1.Умерший зарабатывал 4800 руб. в месяц. На его
Купить
$ 0.98

08.08.2017
0 продаж
Решебник Арутюнова Ю.С. Задание N54 Высшая математика
Купить
$ 0.25

15.08.2017
0 продаж
Решебник Арутюнова Ю.С. Задание N112 Высшая математика
Купить
$ 0.41

16.08.2017
0 продаж
Решебник Арутюнова Ю.С. Задание N137 Высшая математика
Купить
$ 0.25

30.05.2017
0 продаж
Решебник Арутюнова Ю.С. Задание N235 Высшая математика
Купить
$ 0.25

12.07.2017
0 продаж
Решебник Арутюнова Ю.С. Задание N416 Высшая математика
Купить
$ 0.25