USSR SHOP »
Магазин » Решебник Арутюнова Ю.С. Задание N434 Высшая математика
Купить Решебник Арутюнова Ю.С. Задание N434 Высшая математика
Обновлено: 2025-10-23 16:08:12
$ 0.32
0 продаж
Всего продаж: 0
✅ Методы оплаты: 





Описание товара:
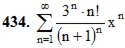
Готовое решение задачи. Решебник Арутюнова. Задание №434.
431 – 440. Найти интервал сходимости степенного ряда.
Если у вас похожее задание, прорешаю на заказ, пишите мне http://fizmathim.plati.ru
Подробное решение. Оформлено в Microsoft Word 2003 (Задание решено с использованием редактора формул)
431 – 440. Найти интервал сходимости степенного ряда.
Если у вас похожее задание, прорешаю на заказ, пишите мне http://fizmathim.plati.ru
Подробное решение. Оформлено в Microsoft Word 2003 (Задание решено с использованием редактора формул)
Изображения:
Вас могут заинтересовать:

18.07.2015
31 продажа
8 Кейсов с ответами 2015 год. Задание на фото.
Купить
$ 7
14.03.2016
24 продажи
Решение задачи Д3 (задание 1) Вариант 09 Диевский В.А.
Купить
$ 0.79
26.11.2015
22 продажи
Решение задачи Д3 Вариант 01 (задание 1, 2) Диевский ВА
Купить
$ 1.45

01.02.2024
8 продаж
Высшая математика
Купить
$ 2.94

06.03.2007
7 продаж
Решебник для задачника по экономике. Автор Мицкевич(11-я глава)
Купить
$ 0.4

08.03.2020
8 продаж
Расчетно-графическая работа 3. Задание 2. Вариант 25
Купить
$ 1.15

16.08.2019
1 продажа
Кейс задание. Исследование операций.
Купить
$ 3.91

07.07.2022
0 продаж
Физиология. Задание 2.
Купить
$ 2.93
22.12.2017
2 продажи
Диевский В.А. - Решение задачи Д7 вариант 16 задание 2
Купить
$ 0.74
31.05.2016
1 продажа
Решение задачи К4 В 98, решебник термех Тарг С.М. 1982
Купить
$ 0.79

15.01.2017
1 продажа
Решебник Кузнецова Л.А. Дифф. уравнения - Вариант 21
Купить
$ 1.49

19.02.2025
1 продажа
Решебник Рябушко. Решенный ИДЗ 10.1, Вариант 22
Купить
$ 1.37
19.02.2025
1 продажа
Решебник Рябушко. Решенный ИДЗ 19.2, Вариант 12
Купить
$ 1.37
20.02.2025
1 продажа
Вариант 3 ИДЗ 6.3 Решебник Рябушко часть 1
Купить
$ 1.57
21.02.2025
1 продажа
Вариант 12 ИДЗ 8.4 Решебник Рябушко часть 2
Купить
$ 1.57
21.02.2025
1 продажа
Вариант 20 ИДЗ 6.2 Решебник Рябушко часть 1
Купить
$ 1.37
21.02.2025
1 продажа
Вариант 21 ИДЗ 18.1 Решебник Рябушко часть 4
Купить
$ 1.47
20.02.2025
1 продажа
Вариант 7 ИДЗ 9.1 Решебник Рябушко часть 2
Купить
$ 1.27
21.02.2025
1 продажа
Вариант 13 ИДЗ 8.2 Решебник Рябушко часть 2
Купить
$ 1.27
21.02.2025
1 продажа
Вариант 15 ИДЗ 5.1 Решебник Рябушко часть 1
Купить
$ 1.18
13.04.2021
1 продажа
Решение задачи Д3 вариант 28 задание 1 - Диевский В.А.
Купить
$ 0.74
13.04.2021
1 продажа
Решение задачи Д3 вариант 24 задание 2 - Диевский В.А.
Купить
$ 0.73

13.01.2019
0 продаж
Решение Д6 В45, решебник по термеху Тарг С.М. 1982 г.
Купить
$ 1.51
13.01.2019
0 продаж
Решение Д6 В49, решебник по термеху Тарг С.М. 1982 г.
Купить
$ 1.92

21.02.2025
0 продаж
Вариант 18 ИДЗ 9.2 Решебник Рябушко часть 2
Купить
$ 0.98
24.03.2016
0 продаж
Решение К1 вариант 63, решебник Тарг С.М. 1982 года
Купить
$ 0.77
30.03.2016
0 продаж
Задание К1 вариант 50, решебник Тарг С.М. 1983 года
Купить
$ 0.65
30.03.2016
0 продаж
Задание К1 вариант 79, решебник Тарг С.М. 1983 года
Купить
$ 0.64

13.04.2016
0 продаж
Задача Д3 Вариант 95, решебник термех Тарг С.М. 1983 г
Купить
$ 0.53
13.04.2016
0 продаж
Решение Д9 Вар. 42, решебник термех Тарг С.М. 1983 г.
Купить
$ 0.65
13.04.2016
0 продаж
Решение Д9 Вар. 87, решебник термех Тарг С.М. 1983 г.
Купить
$ 0.65
27.04.2016
0 продаж
Решение Д7 В36, решебник по термеху Тарг С.М. 1982 г.
Купить
$ 0.79
27.04.2016
0 продаж
Решение Д7 В55, решебник по термеху Тарг С.М. 1982 г.
Купить
$ 0.79

23.05.2016
0 продаж
Задача С4 вариант 06, решебник термех Тарг С.М. 1982 г
Купить
$ 0.63
10.02.2017
0 продаж
Решение К2 вар. 78, решебник теормех Тарг С.М. 1982 г.
Купить
$ 0.79
31.05.2016
0 продаж
Решение К3 вар. 05, решебник термех Тарг С.М. 1982 г.
Купить
$ 0.79
31.05.2016
0 продаж
Решение К3 вар. 33, решебник термех Тарг С.М. 1982 г.
Купить
$ 0.79
06.06.2016
0 продаж
Решение задачи Д1 В 81 решебник термех Тарг С.М. 1982
Купить
$ 0.79

20.02.2025
0 продаж
Вариант 4 ИДЗ 16.1 Решебник Рябушко часть 4
Купить
$ 1.18

16.03.2017
1 продажа
Задание 11.31 раздела 3 УМФ из решебника Чудесенко В.Ф.
Купить
$ 0.46
27.07.2017
1 продажа
Решебник Арутюнова Ю.С. Задание N437 Высшая математика
Купить
$ 0.32

09.12.2016
1 продажа
Решебник Арутюнова Ю.С. Задание N578 Высшая математика
Купить
$ 0.16

23.06.2017
2 продажи
Решебник Арутюнова Ю.С. Задание N398 Высшая математика
Купить
$ 0.25

09.08.2017
0 продаж
Решебник Арутюнова Ю.С. Задание N66 Высшая математика
Купить
$ 0.25

20.08.2017
0 продаж
Решебник Арутюнова Ю.С. Задание N178 Высшая математика
Купить
$ 0.25

03.06.2017
0 продаж
Решебник Арутюнова Ю.С. Задание N254 Высшая математика
Купить
$ 0.33

10.06.2017
0 продаж
Решебник Арутюнова Ю.С. Задание N349 Высшая математика
Купить
$ 0.32

14.06.2017
0 продаж
Решебник Арутюнова Ю.С. Задание N360 Высшая математика
Купить
$ 0.33

27.07.2017
0 продаж
Решебник Арутюнова Ю.С. Задание N435 Высшая математика
Купить
$ 0.25
17.04.2018
0 продаж
РГР: В.Н.КУНИН А.Ф.ГАЛКИН 2007Г. ЗАДАНИЕ 1.65
Купить
$ 0.24