USSR SHOP »
Магазин » Решебник Арутюнова Ю.С. Задание N564 Высшая математика
Купить Решебник Арутюнова Ю.С. Задание N564 Высшая математика
Обновлено: 2025-10-23 21:03:44

$ 0.16
0 продаж
Всего продаж: 0
✅ Методы оплаты: 





Описание товара:
Готовое решение задачи. Решебник Арутюнова. Задание №564.
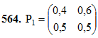
561-570. Задана матрица P1 вероятностей перехода цепи Маркова из состояния i (i = 1, 2) в состояние j (j = 1, 2) за один шаг. Найти матрицу P2 перехода из состояния i в состояние j за два шага.
Если у вас похожее задание, прорешаю на заказ, пишите мне http://fizmathim.plati.ru
Подробное решение. Оформлено в Microsoft Word 2003 (Задание решено с использованием редактора формул)
561-570. Задана матрица P1 вероятностей перехода цепи Маркова из состояния i (i = 1, 2) в состояние j (j = 1, 2) за один шаг. Найти матрицу P2 перехода из состояния i в состояние j за два шага.
Если у вас похожее задание, прорешаю на заказ, пишите мне http://fizmathim.plati.ru
Подробное решение. Оформлено в Microsoft Word 2003 (Задание решено с использованием редактора формул)
Изображения:
Вас могут заинтересовать:
08.01.2016
15 продаж
Решение задачи Д4 (задание 2) Вариант 05 Диевский В.А.
Купить
$ 0.79
08.01.2016
16 продаж
Решение задачи Д4 (задание 1) Вариант 14 Диевский В.А.
Купить
$ 0.79
08.01.2016
12 продаж
Решение задачи Д4 (задание 2) Вариант 11 Диевский В.А.
Купить
$ 0.79
08.01.2016
12 продаж
Решение задачи Д7 (задание 1) Вариант 05 Диевский В.А.
Купить
$ 0.79

01.02.2024
8 продаж
Высшая математика
Купить
$ 2.94

30.08.2016
0 продаж
Привод к ленточному конвейеру, задание 7, вариант 8
Купить
$ 12

29.08.2016
1 продажа
Менеджмент в сфере образования задание 1.
Купить
$ 1.95

16.08.2019
0 продаж
Педагогика. Лекция. Задание 2.
Купить
$ 3.91

10.07.2019
0 продаж
Этика педагога. Кейс задание 1. Вариант №5.
Купить
$ 3.91

02.03.2022
0 продаж
Физиология. Задание №1
Купить
$ 3.42

30.07.2020
0 продаж
Маркетинговые исследования. Кейс задание №1.
Купить
$ 4.88

07.07.2022
0 продаж
Экономика. Задание 3.
Купить
$ 2.93
30.03.2016
1 продажа
Задача С2 вариант 99, решебник Тарг С.М. 1983 г.
Купить
$ 1.11
31.05.2016
1 продажа
Решение К3 вар. 11, решебник термех Тарг С.М. 1982 г.
Купить
$ 0.79
12.04.2016
1 продажа
Решение задачи Д1 Вариант 33, решебник Тарг С.М. 1983
Купить
$ 0.63
31.05.2016
1 продажа
Решение К3 вар. 30, решебник термех Тарг С.М. 1982 г.
Купить
$ 0.79
06.06.2016
1 продажа
Решение задачи Д1 В 65 решебник термех Тарг С.М. 1982
Купить
$ 0.79

03.01.2020
1 продажа
Решебник Кузнецова Л.А. Векторный анализ - Вариант 12
Купить
$ 1.54
19.02.2025
1 продажа
Решебник Рябушко. Решенный ИДЗ 19.2, Вариант 16
Купить
$ 1.37
20.02.2025
1 продажа
Вариант 3 ИДЗ 12.1 Решебник Рябушко часть 3
Купить
$ 1.37
21.02.2025
1 продажа
Вариант 12 ИДЗ 6.2 Решебник Рябушко часть 1
Купить
$ 1.37
21.02.2025
1 продажа
Вариант 13 ИДЗ 18.2 Решебник Рябушко часть 4
Купить
$ 1.47
21.02.2025
1 продажа
Вариант 14 ИДЗ 12.3 Решебник Рябушко часть 3
Купить
$ 1.57
21.02.2025
1 продажа
Вариант 15 ИДЗ 6.1 Решебник Рябушко часть 1
Купить
$ 1.57
21.02.2025
1 продажа
Вариант 20 ИДЗ 6.1 Решебник Рябушко часть 1
Купить
$ 1.57
21.02.2025
1 продажа
Вариант 11 ИДЗ 8.3 Решебник Рябушко часть 2
Купить
$ 1.27
21.02.2025
1 продажа
Вариант 16 ИДЗ 3.1 Решебник Рябушко часть 1
Купить
$ 0.69
21.02.2025
1 продажа
Вариант 25 ИДЗ 13.2 Решебник Рябушко часть 3
Купить
$ 1.18
21.02.2025
1 продажа
Вариант 27 ИДЗ 6.4 Решебник Рябушко часть 1
Купить
$ 1.08
09.10.2022
1 продажа
Решение задачи Д3 вариант 1 задание 2 - Диевский В.А.
Купить
$ 0.74

20.03.2021
0 продаж
Маркетинг. Высшая лига (2021)
Купить
$ 3.25

12.08.2020
0 продаж
Вариант 23 ИДЗ 6.4 Решебник Рябушко часть 1
Купить
$ 0.83

02.08.2020
0 продаж
Вариант 20 ИДЗ 14.2 Решебник Рябушко часть 3
Купить
$ 0.56

31.07.2020
0 продаж
Вариант 21 ИДЗ 3.1 Решебник Рябушко часть 1
Купить
$ 0.53
24.03.2016
0 продаж
Решение К1 вариант 79, решебник Тарг С.М. 1982 года
Купить
$ 0.77

30.03.2016
0 продаж
Задание К1 вариант 86, решебник Тарг С.М. 1983 года
Купить
$ 0.51

13.04.2016
0 продаж
Задача Д3 Вариант 09, решебник термех Тарг С.М. 1983 г
Купить
$ 0.53

13.04.2016
0 продаж
Задача Д3 Вариант 47, решебник термех Тарг С.М. 1983 г
Купить
$ 0.53
27.04.2016
0 продаж
Решение Д7 В51, решебник по термеху Тарг С.М. 1982 г.
Купить
$ 0.79
28.04.2016
0 продаж
Решение Д7 В91, решебник по термеху Тарг С.М. 1982 г.
Купить
$ 0.79

23.05.2016
0 продаж
Задача С4 вариант 17, решебник термех Тарг С.М. 1982 г
Купить
$ 0.63
23.05.2016
0 продаж
Решение С5 вар. 82, решебник теормех Тарг С.М. 1982 г.
Купить
$ 0.79
10.02.2017
0 продаж
Решение К2 вар. 79, решебник теормех Тарг С.М. 1982 г.
Купить
$ 0.79
10.02.2017
0 продаж
Решение К2 вар. 85, решебник теормех Тарг С.М. 1982 г.
Купить
$ 0.79
31.05.2016
0 продаж
Решение К3 вар. 05, решебник термех Тарг С.М. 1982 г.
Купить
$ 0.79
06.06.2016
0 продаж
Решение задачи Д1 В 83 решебник термех Тарг С.М. 1982
Купить
$ 0.79
16.03.2017
2 продажи
Задание 09.31 раздела 3 УМФ из решебника Чудесенко В.Ф.
Купить
$ 0.58

16.08.2017
0 продаж
Решебник Арутюнова Ю.С. Задание N131 Высшая математика
Купить
$ 0.25

01.08.2017
0 продаж
Решебник Арутюнова Ю.С. Задание N469 Высшая математика
Купить
$ 0.33
17.04.2018
0 продаж
РГР: В.Н.КУНИН А.Ф.ГАЛКИН 2007Г. ЗАДАНИЕ 1.16
Купить
$ 0.24