USSR SHOP »
Магазин » Решебник Арутюнова Ю.С. Задание N283 Высшая математика
Купить Решебник Арутюнова Ю.С. Задание N283 Высшая математика
Обновлено: 2025-10-23 18:29:19

$ 0.57
0 продаж
Всего продаж: 0
✅ Методы оплаты: 





Описание товара:
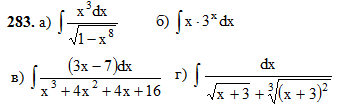
Готовое решение задачи. Решебник Арутюнова. Задание №283.
281 – 290. Найти неопределенные интегралы. В двух первых примерах [п. а) и б)] проверить результаты дифференцированием.
Если у вас похожее задание, прорешаю на заказ, пишите мне http://fizmathim.plati.ru
Подробное решение. Оформлено в Microsoft Word 2003 (Задание решено с использованием редактора формул)
281 – 290. Найти неопределенные интегралы. В двух первых примерах [п. а) и б)] проверить результаты дифференцированием.
Если у вас похожее задание, прорешаю на заказ, пишите мне http://fizmathim.plati.ru
Подробное решение. Оформлено в Microsoft Word 2003 (Задание решено с использованием редактора формул)
Изображения:
Вас могут заинтересовать:
26.11.2015
17 продаж
Решение задачи Д3 Вариант 16 (задание 1, 2) Диевский ВА
Купить
$ 1.44
26.11.2015
12 продаж
Решение задачи Д3 Вариант 06 (задание 1, 2) Диевский ВА
Купить
$ 1.44

09.02.2007
10 продаж
Решебник для задачника по экономике. Автор Мицкевич(1-я глава)
Купить
$ 0.2
05.09.2018
8 продаж
Диевский В.А. - Решение задачи Д4 вариант 10 задание 2
Купить
$ 0.73

06.07.2017
2 продажи
Задание №1. Поиск кандидатов.
Купить
$ 3.91

14.06.2013
2 продажи
Самостоятельная работа РФЭИ Математика №2 20 задании
Купить
$ 2.2

10.01.2017
1 продажа
Управление качеством. 3 вопроса. Кейс-задание.
Купить
$ 3.91

06.06.2016
2 продажи
Решение задачи Д1 В 84 решебник термех Тарг С.М. 1982
Купить
$ 0.63
05.09.2018
1 продажа
Диевский В.А. - Решение задачи Д4 вариант 25 задание 2
Купить
$ 0.74

22.07.2021
1 продажа
Жилищное право. Практическое задание №2.
Купить
$ 3.91
31.05.2016
1 продажа
Решение задачи К4 В 12, решебник термех Тарг С.М. 1982
Купить
$ 0.79
13.04.2016
1 продажа
Решение Д9 Вар. 58, решебник термех Тарг С.М. 1983 г.
Купить
$ 0.64

19.02.2025
1 продажа
Решебник Рябушко. Решенный ИДЗ 11.4, Вариант 13
Купить
$ 1.16
19.02.2025
1 продажа
Решебник Рябушко. Решенный ИДЗ 12.2, Вариант 21
Купить
$ 1.47

15.07.2020
1 продажа
Вариант 14 ИДЗ 6.3 Решебник Рябушко часть 1
Купить
$ 1.2
20.02.2025
1 продажа
Вариант 10 ИДЗ 6.1 Решебник Рябушко часть 1
Купить
$ 1.57
21.02.2025
1 продажа
Вариант 16 ИДЗ 6.2 Решебник Рябушко часть 1
Купить
$ 1.37

12.08.2020
1 продажа
Вариант 14 ИДЗ 6.4 Решебник Рябушко часть 1
Купить
$ 0.83

26.07.2020
1 продажа
Вариант 5 ИДЗ 5.1 Решебник Рябушко часть 1
Купить
$ 0.9
20.02.2025
1 продажа
Вариант 3 ИДЗ 4.1 Решебник Рябушко часть 1
Купить
$ 1.18
20.02.2025
1 продажа
Вариант 7 ИДЗ 1.2 Решебник Рябушко часть 1
Купить
$ 0.98
21.02.2025
1 продажа
Вариант 20 ИДЗ 2.2 Решебник Рябушко часть 1
Купить
$ 0.69

13.04.2021
1 продажа
Решение задачи Д3 вариант 7 задание 1 - Диевский В.А.
Купить
$ 0.59
18.05.2018
0 продаж
Диевский В.А. - Решение задачи Д7 вариант 23 задание 2
Купить
$ 0.74

16.01.2017
0 продаж
Решебник Кузнецова Л.А. Пределы - Вариант 31
Купить
$ 1.64

21.02.2025
0 продаж
Вариант 18 ИДЗ 15.2 Решебник Рябушко часть 3
Купить
$ 1.18

02.08.2020
0 продаж
Вариант 23 ИДЗ 14.1 Решебник Рябушко часть 3
Купить
$ 0.83

01.08.2020
0 продаж
Вариант 18 ИДЗ 5.2 Решебник Рябушко часть 1
Купить
$ 0.83

20.03.2016
0 продаж
Задача С3 вариант 90, решебник Тарг С.М. 1982 г.
Купить
$ 0.94
13.01.2019
0 продаж
Решение К1 вариант 85, решебник Тарг С.М. 1982 года
Купить
$ 0.77
30.03.2016
0 продаж
Задание К1 вариант 79, решебник Тарг С.М. 1983 года
Купить
$ 0.64

12.04.2016
0 продаж
Решение задачи Д1 Вариант 09, решебник Тарг С.М. 1983
Купить
$ 0.5

13.04.2016
0 продаж
Задача Д3 Вариант 05, решебник термех Тарг С.М. 1983 г
Купить
$ 0.53

13.04.2016
0 продаж
Задача Д3 Вариант 80, решебник термех Тарг С.М. 1983 г
Купить
$ 0.53

13.04.2016
0 продаж
Задача Д3 Вариант 97, решебник термех Тарг С.М. 1983 г
Купить
$ 0.53
23.05.2016
0 продаж
Решение С5 вар. 14, решебник теормех Тарг С.М. 1982 г.
Купить
$ 0.79
10.02.2017
0 продаж
Решение К2 вар. 37, решебник теормех Тарг С.М. 1982 г.
Купить
$ 0.79
31.05.2016
0 продаж
Решение К3 вар. 89, решебник термех Тарг С.М. 1982 г.
Купить
$ 0.79
06.06.2016
0 продаж
Решение задачи Д1 В 36 решебник термех Тарг С.М. 1982
Купить
$ 0.79

10.02.2017
0 продаж
Решение задачи Д4 В 73, решебник Тарг С.М. 1982 года
Купить
$ 0.63

16.08.2017
0 продаж
Практическое задание 1 Теория организации и организацио
Купить
$ 1
09.12.2016
1 продажа
Решебник Арутюнова Ю.С. Задание N568 Высшая математика
Купить
$ 0.21

27.07.2017
1 продажа
Решебник Арутюнова Ю.С. Задание N431 Высшая математика
Купить
$ 0.25

07.08.2017
0 продаж
Решебник Арутюнова Ю.С. Задание N47 Высшая математика
Купить
$ 0.25

16.08.2017
0 продаж
Решебник Арутюнова Ю.С. Задание N124 Высшая математика
Купить
$ 0.25

16.08.2017
0 продаж
Решебник Арутюнова Ю.С. Задание N139 Высшая математика
Купить
$ 0.25

09.06.2017
0 продаж
Решебник Арутюнова Ю.С. Задание N333 Высшая математика
Купить
$ 0.25

28.07.2017
0 продаж
Решебник Арутюнова Ю.С. Задание N441 Высшая математика
Купить
$ 0.25

09.12.2016
0 продаж
Решебник Арутюнова Ю.С. Задание N561 Высшая математика
Купить
$ 0.16
16.03.2017
0 продаж
Задание 08.31 раздела 3 УМФ из решебника Чудесенко В.Ф.
Купить
$ 0.58