USSR SHOP »
Магазин » Решебник Арутюнова Ю.С. Задание N286 Высшая математика
Купить Решебник Арутюнова Ю.С. Задание N286 Высшая математика
Обновлено: 2025-12-12 23:22:24
$ 0.76
0 продаж
Всего продаж: 0
✅ Методы оплаты: 







Описание товара:
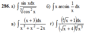
Готовое решение задачи. Решебник Арутюнова. Задание №286.
281 – 290. Найти неопределенные интегралы. В двух первых примерах [п. а) и б)] проверить результаты дифференцированием.
Если у вас похожее задание, прорешаю на заказ, пишите мне http://fizmathim.plati.ru
Подробное решение. Оформлено в Microsoft Word 2003 (Задание решено с использованием редактора формул)
281 – 290. Найти неопределенные интегралы. В двух первых примерах [п. а) и б)] проверить результаты дифференцированием.
Если у вас похожее задание, прорешаю на заказ, пишите мне http://fizmathim.plati.ru
Подробное решение. Оформлено в Microsoft Word 2003 (Задание решено с использованием редактора формул)
Изображения:
Вас могут заинтересовать:
21.04.2010
0 продаж
Информатика - Курсовая работа (QBasic) - Задание №57
Купить
$ 5.03
26.11.2015
12 продаж
Решение задачи Д3 Вариант 06 (задание 1, 2) Диевский ВА
Купить
$ 1.55
04.08.2020
2 продажи
Практическое задание №5. Учет готовой продукции
Купить
$ 3.82
30.08.2016
0 продаж
Привод к ленточному конвейеру, задание 7, вариант 2
Купить
$ 12
19.01.2020
0 продаж
Менеджмент качества. Задание.
Купить
$ 4.94
16.08.2019
0 продаж
Эссе. Задание 3. Психология.
Купить
$ 5.91
10.02.2017
3 продажи
Решение К2 вар. 63, решебник теормех Тарг С.М. 1982 г.
Купить
$ 0.84
13.04.2016
2 продажи
Задача Д3 Вариант 71, решебник термех Тарг С.М. 1983 г
Купить
$ 0.69
20.02.2025
2 продажи
Решебник Рябушко. Решенный ИДЗ 2.2, Вариант 7
Купить
$ 0.74
19.02.2025
2 продажи
Решебник Рябушко. Решенный ИДЗ 18.2, Вариант 15
Купить
$ 1.47
27.05.2016
1 продажа
Решение задачи Д7 (задание 2) Вариант 24 Диевский В.А.
Купить
$ 1.18
20.02.2025
1 продажа
Вариант 1 ИДЗ 6.1 Решебник Рябушко часть 1
Купить
$ 1.57
20.02.2025
1 продажа
Вариант 1 ИДЗ 10.1 Решебник Рябушко часть 2
Купить
$ 1.37
20.02.2025
1 продажа
Вариант 3 ИДЗ 18.2 Решебник Рябушко часть 4
Купить
$ 1.47
21.02.2025
1 продажа
Вариант 14 ИДЗ 18.2 Решебник Рябушко часть 4
Купить
$ 1.47
21.02.2025
1 продажа
Вариант 21 ИДЗ 6.1 Решебник Рябушко часть 1
Купить
$ 1.57
21.02.2025
1 продажа
Вариант 29 ИДЗ 12.3 Решебник Рябушко часть 3
Купить
$ 1.6
20.02.2025
1 продажа
Вариант 1 ИДЗ 8.2 Решебник Рябушко часть 2
Купить
$ 1.27
20.02.2025
1 продажа
Вариант 2 ИДЗ 4.1 Решебник Рябушко часть 1
Купить
$ 1.18
20.02.2025
1 продажа
Вариант 10 ИДЗ 11.3 Решебник Рябушко часть 2
Купить
$ 1.18
21.02.2025
1 продажа
Вариант 11 ИДЗ 9.1 Решебник Рябушко часть 2
Купить
$ 1.27
21.02.2025
1 продажа
Вариант 18 ИДЗ 5.2 Решебник Рябушко часть 1
Купить
$ 1.08
21.02.2025
1 продажа
Вариант 19 ИДЗ 2.2 Решебник Рябушко часть 1
Купить
$ 0.69
21.02.2025
1 продажа
Вариант 20 ИДЗ 11.1 Решебник Рябушко часть 2
Купить
$ 1.18
21.02.2025
1 продажа
Вариант 26 ИДЗ 8.2 Решебник Рябушко часть 2
Купить
$ 1.3
06.11.2018
1 продажа
Контрольно-курсовое задание Организационное поведение
Купить
$ 12.41
13.04.2021
1 продажа
Диевский В.А. - Решение задачи Д4 вариант 14 задание 1
Купить
$ 0.77
23.03.2021
0 продаж
ЕГЭ-Математика: Для поступающих в вузы-2022
Купить
$ 5
16.01.2017
0 продаж
Решебник Кузнецова Л.А. Дифференцирование - Вариант 26
Купить
$ 2.21
15.03.2021
0 продаж
Математика для правого мозга
Купить
$ 20.01
21.02.2025
0 продаж
Вариант 20 ИДЗ 14.2 Решебник Рябушко часть 3
Купить
$ 0.76
13.04.2016
0 продаж
Задача Д3 Вариант 62, решебник термех Тарг С.М. 1983 г
Купить
$ 0.7
13.04.2016
0 продаж
Решение Д9 Вар. 23, решебник термех Тарг С.М. 1983 г.
Купить
$ 0.64
13.04.2016
0 продаж
Решение Д9 Вар. 79, решебник термех Тарг С.М. 1983 г.
Купить
$ 0.69
23.05.2016
0 продаж
Задача С4 вариант 26, решебник термех Тарг С.М. 1982 г
Купить
$ 0.84
23.05.2016
0 продаж
Решение С5 вар. 34, решебник теормех Тарг С.М. 1982 г.
Купить
$ 0.82
23.05.2016
0 продаж
Решение С5 вар. 52, решебник теормех Тарг С.М. 1982 г.
Купить
$ 0.79
31.05.2016
0 продаж
Решение К3 вар. 47, решебник термех Тарг С.М. 1982 г.
Купить
$ 0.81
31.05.2016
0 продаж
Решение К3 вар. 87, решебник термех Тарг С.М. 1982 г.
Купить
$ 0.84
31.05.2016
0 продаж
Решение задачи К4 В 09, решебник термех Тарг С.М. 1982
Купить
$ 0.82
10.02.2017
0 продаж
Решение задачи Д4 В 09, решебник Тарг С.М. 1982 года
Купить
$ 0.83
10.02.2017
0 продаж
Решение задачи Д4 В 94, решебник Тарг С.М. 1982 года
Купить
$ 0.8
23.05.2020
0 продаж
Решение задачи № 32 из Сборника под ред. Арутюнова Ю.С.
Купить
$ 0.57
16.08.2017
0 продаж
Решебник Арутюнова Ю.С. Задание N128 Высшая математика
Купить
$ 0.32
25.08.2017
0 продаж
Решебник Арутюнова Ю.С. Задание N228 Высшая математика
Купить
$ 0.42
29.05.2017
0 продаж
Решебник Арутюнова Ю.С. Задание N276 Высшая математика
Купить
$ 0.33
14.06.2017
0 продаж
Решебник Арутюнова Ю.С. Задание N354 Высшая математика
Купить
$ 0.44
09.12.2016
0 продаж
Решебник Арутюнова Ю.С. Задание N573 Высшая математика
Купить
$ 0.16
17.04.2018
0 продаж
РГР: В.Н.КУНИН А.Ф.ГАЛКИН 2007Г. ЗАДАНИЕ 1.18
Купить
$ 0.2
17.04.2018
0 продаж
РГР: В.Н.КУНИН А.Ф.ГАЛКИН 2007Г. ЗАДАНИЕ 1.58
Купить
$ 0.25