USSR SHOP »
Магазин » Решебник Арутюнова Ю.С. Задание N562 Высшая математика
Купить Решебник Арутюнова Ю.С. Задание N562 Высшая математика
Обновлено: 2025-10-23 23:51:50

$ 0.16
0 продаж
Всего продаж: 0
✅ Методы оплаты: 





Описание товара:
Готовое решение задачи. Решебник Арутюнова. Задание №562.
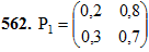
561-570. Задана матрица P1 вероятностей перехода цепи Маркова из состояния i (i = 1, 2) в состояние j (j = 1, 2) за один шаг. Найти матрицу P2 перехода из состояния i в состояние j за два шага.
Если у вас похожее задание, прорешаю на заказ, пишите мне http://fizmathim.plati.ru
Подробное решение. Оформлено в Microsoft Word 2003 (Задание решено с использованием редактора формул)
561-570. Задана матрица P1 вероятностей перехода цепи Маркова из состояния i (i = 1, 2) в состояние j (j = 1, 2) за один шаг. Найти матрицу P2 перехода из состояния i в состояние j за два шага.
Если у вас похожее задание, прорешаю на заказ, пишите мне http://fizmathim.plati.ru
Подробное решение. Оформлено в Microsoft Word 2003 (Задание решено с использованием редактора формул)
Изображения:
Вас могут заинтересовать:

04.08.2020
5 продаж
Практическое задание №1. Пенсионное обеспечение.
Купить
$ 2.93

16.02.2016
6 продаж
Решение задачи Д4 (задание 2) Вариант 16 Диевский В.А.
Купить
$ 0.63

30.08.2016
0 продаж
Привод к цепному конвейеру, задание 5, вариант 4
Купить
$ 12
05.09.2018
3 продажи
Диевский В.А. - Решение задачи Д4 вариант 23 задание 2
Купить
$ 0.74

31.03.2017
0 продаж
Государственное и муниципальное. Кейс задание.
Купить
$ 4.9

15.08.2017
0 продаж
ДКБ. ТК-1 - Задание.
Купить
$ 3.67

05.05.2009
0 продаж
Контрольная РФЭИ Математика №2
Купить
$ 2.2
05.09.2018
2 продажи
Диевский В.А. - Решение задачи Д4 вариант 18 задание 2
Купить
$ 0.74

29.07.2016
0 продаж
Задание 6. Психология делового общения и управление кон
Купить
$ 2.15

12.04.2016
1 продажа
Решение задачи Д1 Вариант 81, решебник Тарг С.М. 1983
Купить
$ 0.5

24.03.2016
1 продажа
Решение К1 вариант 67, решебник Тарг С.М. 1982 года
Купить
$ 0.61

30.03.2016
1 продажа
Задание К1 вариант 23, решебник Тарг С.М. 1983 года
Купить
$ 0.51

17.02.2016
0 продаж
Стратегический менеджмент. Задание 3.
Купить
$ 0.68
21.02.2025
1 продажа
Вариант 24 ИДЗ 18.1 Решебник Рябушко часть 4
Купить
$ 1.47

09.09.2020
1 продажа
Вариант 8 ИДЗ 11.3 Решебник Рябушко часть 2
Купить
$ 0.9
20.02.2025
1 продажа
Вариант 2 ИДЗ 11.3 Решебник Рябушко часть 2
Купить
$ 1.18
20.02.2025
1 продажа
Вариант 6 ИДЗ 8.1 Решебник Рябушко часть 2
Купить
$ 0.98
21.02.2025
1 продажа
Вариант 12 ИДЗ 11.1 Решебник Рябушко часть 2
Купить
$ 1.18
21.02.2025
1 продажа
Вариант 18 ИДЗ 2.2 Решебник Рябушко часть 1
Купить
$ 0.69
21.02.2025
1 продажа
Вариант 22 ИДЗ 8.3 Решебник Рябушко часть 2
Купить
$ 1.27
21.02.2025
1 продажа
Вариант 23 ИДЗ 11.1 Решебник Рябушко часть 2
Купить
$ 1.18
21.02.2025
1 продажа
Вариант 24 ИДЗ 10.2 Решебник Рябушко часть 2
Купить
$ 1.18
21.02.2025
1 продажа
Вариант 25 ИДЗ 2.1 Решебник Рябушко часть 1
Купить
$ 0.69
13.04.2021
1 продажа
Решение задачи Д3 вариант 25 задание 2 - Диевский В.А.
Купить
$ 0.74
13.04.2021
1 продажа
Решение задачи Д3 вариант 26 задание 1 - Диевский В.А.
Купить
$ 0.74

13.11.2008
0 продаж
Математика. Решение сложных задач ЕГЭ + БОНУС
Купить
$ 0.75
18.05.2018
0 продаж
Диевский В.А. - Решение задачи Д7 вариант 27 задание 1
Купить
$ 0.74
14.04.2016
0 продаж
Решение Д6 В85, решебник термех Тарг С.М. 1983 года
Купить
$ 3.24

01.08.2020
0 продаж
Вариант 25 ИДЗ 5.2 Решебник Рябушко часть 1
Купить
$ 0.83

21.02.2025
1 продажа
Вариант 22 ИДЗ 8.1 Решебник Рябушко часть 2
Купить
$ 0.98

01.08.2020
0 продаж
Вариант 16 ИДЗ 4.1 Решебник Рябушко часть 1
Купить
$ 0.9

19.03.2016
0 продаж
Задача С3 вариант 42, решебник Тарг С.М. 1982 г.
Купить
$ 0.94

08.02.2017
0 продаж
Решение К1 вариант 46, решебник Тарг С.М. 1982 года
Купить
$ 0.61
24.03.2016
0 продаж
Решение К1 вариант 54, решебник Тарг С.М. 1982 года
Купить
$ 0.77

13.01.2019
0 продаж
Решение К1 вариант 70, решебник Тарг С.М. 1982 года
Купить
$ 0.61

13.01.2019
0 продаж
Решение К1 вариант 96, решебник Тарг С.М. 1982 года
Купить
$ 0.61
13.01.2019
0 продаж
Решение Д6 В18, решебник по термеху Тарг С.М. 1982 г.
Купить
$ 1.12

30.03.2016
0 продаж
Задание К1 вариант 22, решебник Тарг С.М. 1983 года
Купить
$ 0.51
13.04.2016
0 продаж
Решение Д9 Вар. 08, решебник термех Тарг С.М. 1983 г.
Купить
$ 0.65

23.05.2016
0 продаж
Задача С4 вариант 89, решебник термех Тарг С.М. 1982 г
Купить
$ 0.63

10.02.2017
0 продаж
Решение задачи Д4 В 57, решебник Тарг С.М. 1982 года
Купить
$ 0.63

07.07.2019
0 продаж
Практическое задание 2. Знания Умения Владения навыками
Купить
$ 1.47

04.07.2013
33 продажи
Математика контрольная часть 4
Купить
$ 0.43

13.08.2017
0 продаж
Решебник Арутюнова Ю.С. Задание N109 Высшая математика
Купить
$ 0.32

20.08.2017
0 продаж
Решебник Арутюнова Ю.С. Задание N176 Высшая математика
Купить
$ 0.25

04.06.2017
0 продаж
Решебник Арутюнова Ю.С. Задание N269 Высшая математика
Купить
$ 0.32
29.05.2017
0 продаж
Решебник Арутюнова Ю.С. Задание N276 Высшая математика
Купить
$ 0.32
16.05.2017
0 продаж
Решебник Арутюнова Ю.С. Задание N291 Высшая математика
Купить
$ 0.32

18.06.2017
0 продаж
Решебник Арутюнова Ю.С. Задание N376 Высшая математика
Купить
$ 0.25
09.12.2016
0 продаж
Решебник Арутюнова Ю.С. Задание N569 Высшая математика
Купить
$ 0.21